Research on Complex Environment Adaptation Technology and Its Algorithm for Intelligent Networked Vehicles
e
17 mar 2025
INFORMAZIONI SU QUESTO ARTICOLO
Pubblicato online: 17 mar 2025
Ricevuto: 17 ott 2024
Accettato: 26 gen 2025
DOI: https://doi.org/10.2478/amns-2025-0192
Parole chiave
© 2025 Fan Luo et al., published by Sciendo
This work is licensed under the Creative Commons Attribution 4.0 International License.
Figure 1.

Figure 2.

Figure 3.

Figure 4.

Figure 5.

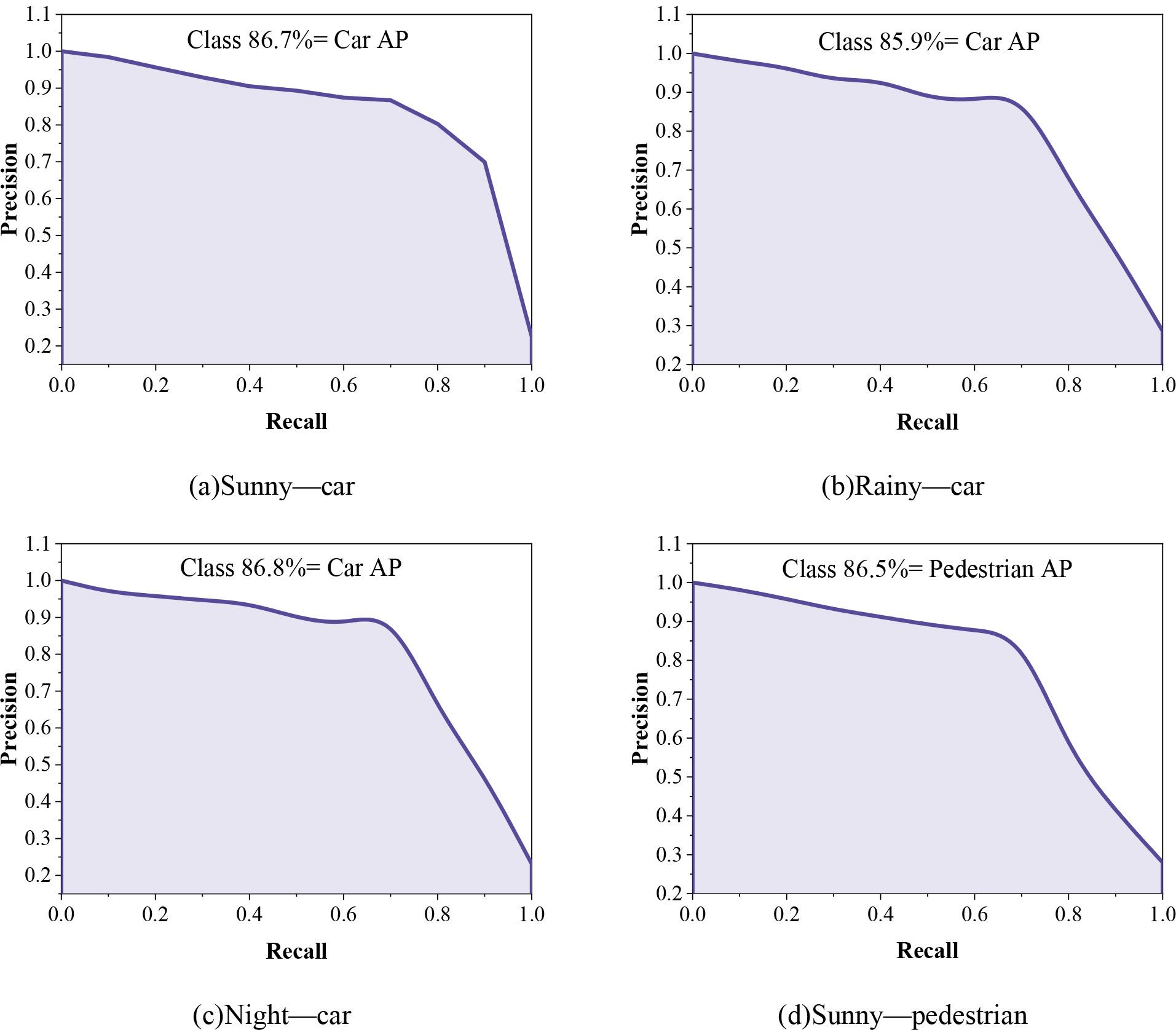
Test results of YOLOv5s model on BDD100K dataset
| Class | Images | Labels | P/% | R/% | mAP@0.5/% |
|---|---|---|---|---|---|
| All | 4000 | 10399 | 84.27 | 83.93 | 85.05 |
| Car | 1000 | 9321 | 92.57 | 90.18 | 91.95 |
| Truck | 1000 | 254 | 85.92 | 81.62 | 83.69 |
| Pedestrian | 1000 | 372 | 86.53 | 87.20 | 84.33 |
| Cyclist | 1000 | 452 | 83.85 | 85.15 | 82.79 |
Test results of YOLOv5s-CBC model on BDD100K dataset
| Class | Images | Labels | P/% | R/% | mAP@0.5/% |
|---|---|---|---|---|---|
| All | 4000 | 10399 | 89.42 | 88.9 | 90.68 |
| Car | 1000 | 9321 | 95.61 | 94.08 | 93.59 |
| Truck | 1000 | 254 | 90.92 | 88.52 | 87.64 |
| Pedestrian | 1000 | 372 | 89.43 | 91.75 | 89.59 |
| Cyclist | 1000 | 452 | 86.47 | 89.61 | 86.61 |
