Research on Complex Environment Adaptation Technology and Its Algorithm for Intelligent Networked Vehicles
y
17 mar 2025
Acerca de este artículo
Publicado en línea: 17 mar 2025
Recibido: 17 oct 2024
Aceptado: 26 ene 2025
DOI: https://doi.org/10.2478/amns-2025-0192
Palabras clave
© 2025 Fan Luo et al., published by Sciendo
This work is licensed under the Creative Commons Attribution 4.0 International License.
Figure 1.

Figure 2.

Figure 3.

Figure 4.

Figure 5.

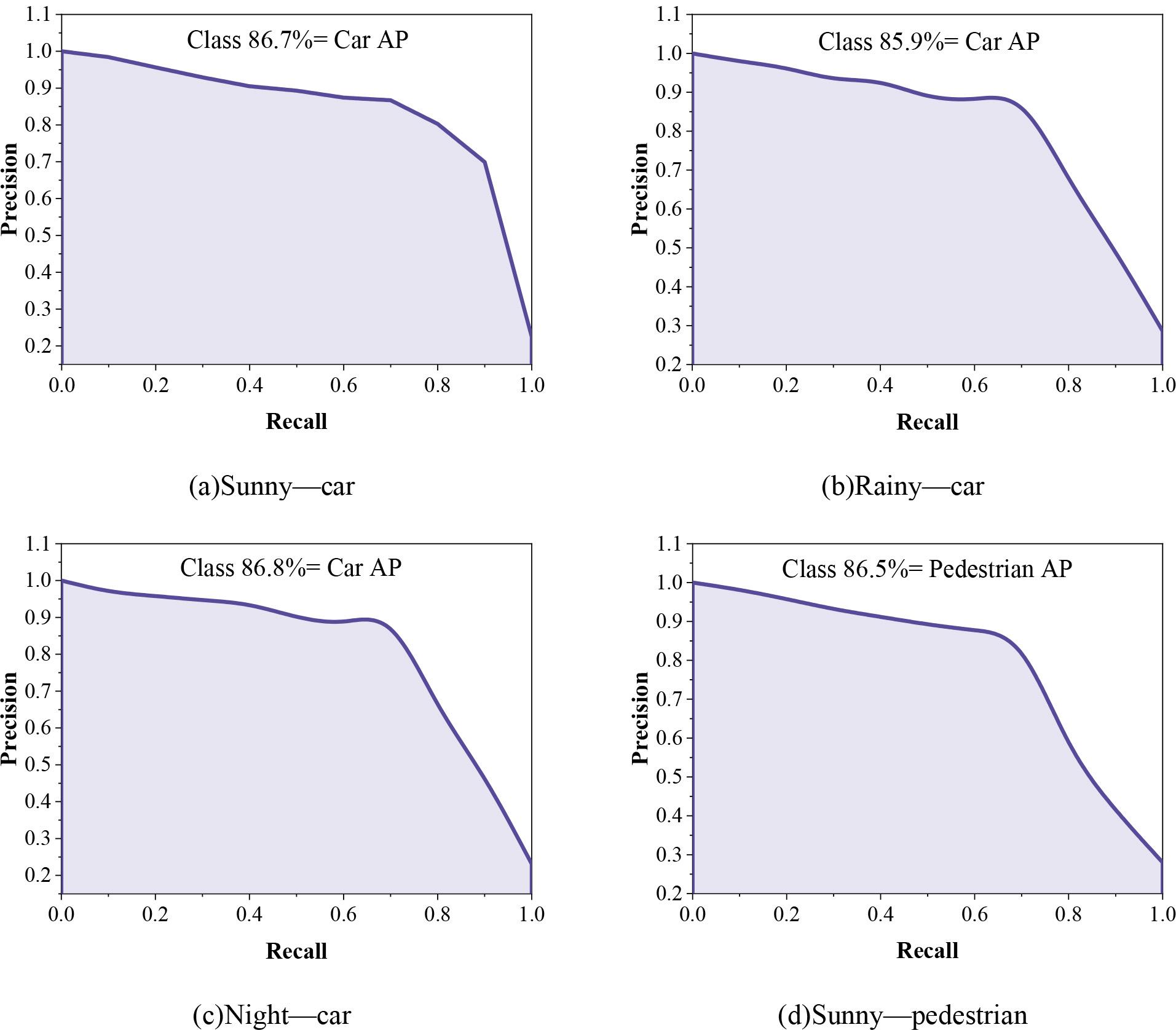
Test results of YOLOv5s model on BDD100K dataset
| Class | Images | Labels | P/% | R/% | mAP@0.5/% |
|---|---|---|---|---|---|
| All | 4000 | 10399 | 84.27 | 83.93 | 85.05 |
| Car | 1000 | 9321 | 92.57 | 90.18 | 91.95 |
| Truck | 1000 | 254 | 85.92 | 81.62 | 83.69 |
| Pedestrian | 1000 | 372 | 86.53 | 87.20 | 84.33 |
| Cyclist | 1000 | 452 | 83.85 | 85.15 | 82.79 |
Test results of YOLOv5s-CBC model on BDD100K dataset
| Class | Images | Labels | P/% | R/% | mAP@0.5/% |
|---|---|---|---|---|---|
| All | 4000 | 10399 | 89.42 | 88.9 | 90.68 |
| Car | 1000 | 9321 | 95.61 | 94.08 | 93.59 |
| Truck | 1000 | 254 | 90.92 | 88.52 | 87.64 |
| Pedestrian | 1000 | 372 | 89.43 | 91.75 | 89.59 |
| Cyclist | 1000 | 452 | 86.47 | 89.61 | 86.61 |
