A Study on the Dual Benefits of Ecotourism Resource Management Intelligent Decision Making System for Environment and Economy
17 mar 2025
INFORMAZIONI SU QUESTO ARTICOLO
Pubblicato online: 17 mar 2025
Ricevuto: 30 ott 2024
Accettato: 20 feb 2025
DOI: https://doi.org/10.2478/amns-2025-0173
Parole chiave
© 2025 Ying Yu, published by Sciendo
This work is licensed under the Creative Commons Attribution 4.0 International License.
Figure 1.

Figure 2.

Figure 3.

Figure 4.

Figure 5.

Figure 6.

Figure 7.

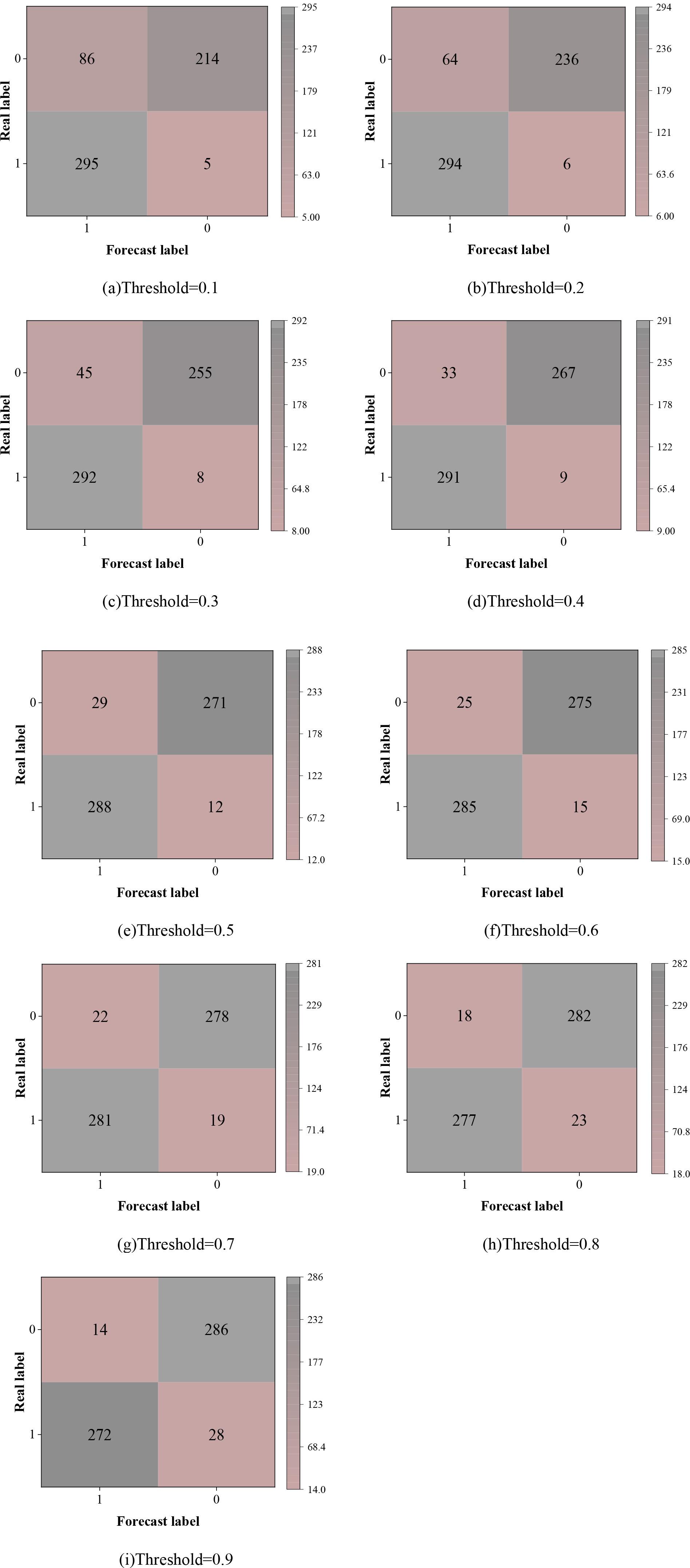
Evaluation indicators for each classification of the model under different thresholds
| Probability threshold | Accuracy | Precision | Recall | F1 | Specificity | FPR |
|---|---|---|---|---|---|---|
| 0.1 | 0.8483 | 0.7743 | 0.9833 | 0.8664 | 0.7133 | 0.2867 |
| 0.2 | 0.8833 | 0.8212 | 0.9800 | 0.8936 | 0.7867 | 0.2133 |
| 0.3 | 0.9117 | 0.8665 | 0.9733 | 0.9168 | 0.8500 | 0.1500 |
| 0.4 | 0.9300 | 0.8981 | 0.9700 | 0.9327 | 0.8900 | 0.1100 |
| 0.5 | 0.9317 | 0.9085 | 0.9600 | 0.9335 | 0.9033 | 0.0967 |
| 0.6 | 0.9333 | 0.9194 | 0.9500 | 0.9344 | 0.9167 | 0.0833 |
| 0.7 | 0.9317 | 0.9274 | 0.9367 | 0.9320 | 0.9267 | 0.0733 |
| 0.8 | 0.9317 | 0.9390 | 0.9233 | 0.9311 | 0.9400 | 0.0600 |
| 0.9 | 0.9300 | 0.9510 | 0.9067 | 0.9283 | 0.9533 | 0.0467 |
Analysis of the model path of the structural equation
| Path | Estimate | S.E. | C.R. | P | Hypothesis result |
|---|---|---|---|---|---|
| X11<---ERMIDS | 0.559 | 0.034 | 2.697 | *** | Support |
| X12<---ERMIDS | 0.487 | 0.011 | 2.362 | *** | Support |
| X13<---ERMIDS | 0.343 | 0.067 | 2.215 | *** | Support |
| X21<---ERMIDS | 0.491 | 0.068 | 2.347 | *** | Support |
| X22<---ERMIDS | 0.352 | 0.054 | 2.614 | *** | Support |
| X23<---ERMIDS | 0.374 | 0.019 | 2.293 | *** | Support |
| X24<---ERMIDS | 0.458 | 0.059 | 2.271 | *** | Support |
Model fitting index results
| Fit index | Standard value | Statistical value | Suitability |
|---|---|---|---|
| CMIN/DF | CMIN/DF<3, ideal 3<CMIN/DF<5, acceptable | 1.692 | Yes |
| RMSEA | RMSEA <0.05, good RMSEA <0.08, acceptable | 0.024 | Yes |
| GFI | >0.8 | 0.909 | Yes |
| CFI | >0.8 | 0.872 | Yes |
| AGFI | >0.8 | 0.898 | Yes |
