A Study on the Dual Benefits of Ecotourism Resource Management Intelligent Decision Making System for Environment and Economy
17. März 2025
Über diesen Artikel
Online veröffentlicht: 17. März 2025
Eingereicht: 30. Okt. 2024
Akzeptiert: 20. Feb. 2025
DOI: https://doi.org/10.2478/amns-2025-0173
Schlüsselwörter
© 2025 Ying Yu, published by Sciendo
This work is licensed under the Creative Commons Attribution 4.0 International License.
Figure 1.

Figure 2.

Figure 3.

Figure 4.

Figure 5.

Figure 6.

Figure 7.

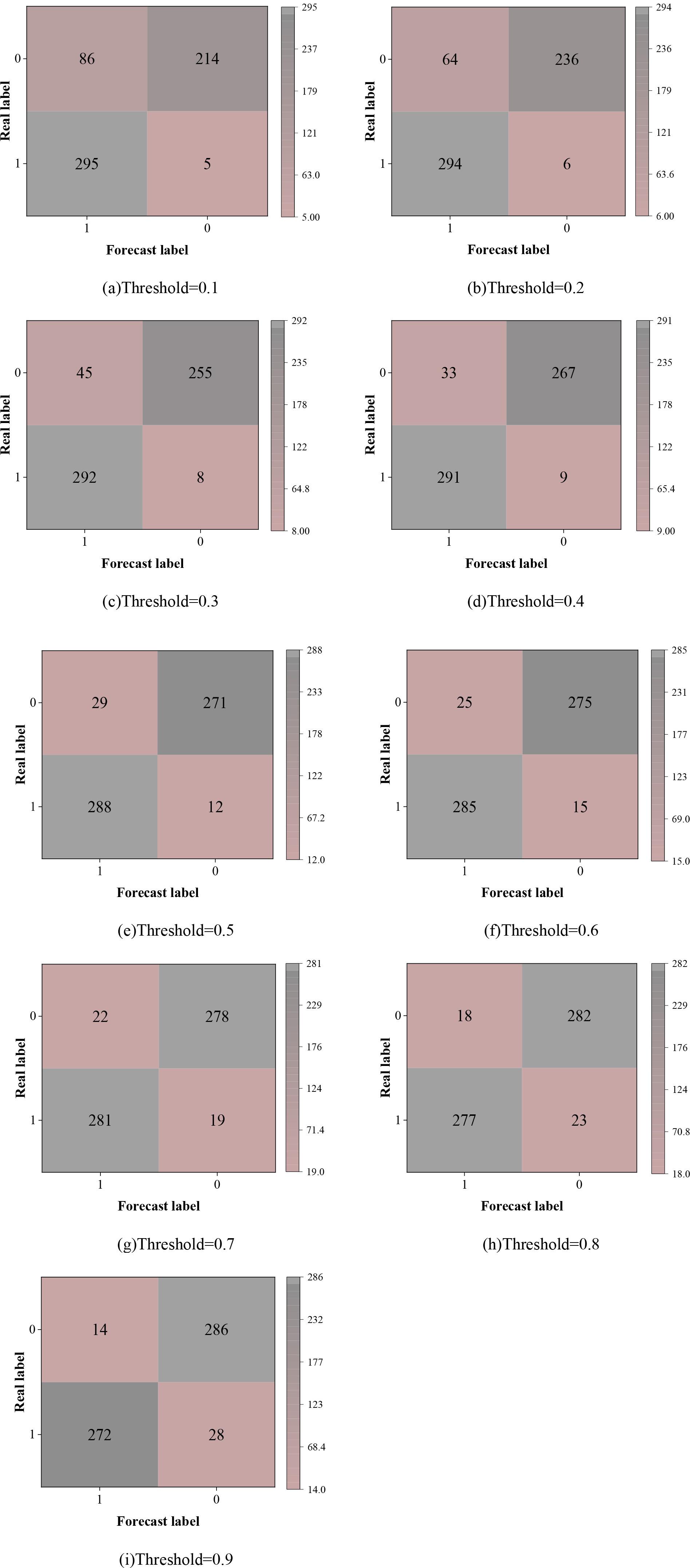
Evaluation indicators for each classification of the model under different thresholds
| Probability threshold | Accuracy | Precision | Recall | F1 | Specificity | FPR |
|---|---|---|---|---|---|---|
| 0.1 | 0.8483 | 0.7743 | 0.9833 | 0.8664 | 0.7133 | 0.2867 |
| 0.2 | 0.8833 | 0.8212 | 0.9800 | 0.8936 | 0.7867 | 0.2133 |
| 0.3 | 0.9117 | 0.8665 | 0.9733 | 0.9168 | 0.8500 | 0.1500 |
| 0.4 | 0.9300 | 0.8981 | 0.9700 | 0.9327 | 0.8900 | 0.1100 |
| 0.5 | 0.9317 | 0.9085 | 0.9600 | 0.9335 | 0.9033 | 0.0967 |
| 0.6 | 0.9333 | 0.9194 | 0.9500 | 0.9344 | 0.9167 | 0.0833 |
| 0.7 | 0.9317 | 0.9274 | 0.9367 | 0.9320 | 0.9267 | 0.0733 |
| 0.8 | 0.9317 | 0.9390 | 0.9233 | 0.9311 | 0.9400 | 0.0600 |
| 0.9 | 0.9300 | 0.9510 | 0.9067 | 0.9283 | 0.9533 | 0.0467 |
Analysis of the model path of the structural equation
| Path | Estimate | S.E. | C.R. | P | Hypothesis result |
|---|---|---|---|---|---|
| X11<---ERMIDS | 0.559 | 0.034 | 2.697 | *** | Support |
| X12<---ERMIDS | 0.487 | 0.011 | 2.362 | *** | Support |
| X13<---ERMIDS | 0.343 | 0.067 | 2.215 | *** | Support |
| X21<---ERMIDS | 0.491 | 0.068 | 2.347 | *** | Support |
| X22<---ERMIDS | 0.352 | 0.054 | 2.614 | *** | Support |
| X23<---ERMIDS | 0.374 | 0.019 | 2.293 | *** | Support |
| X24<---ERMIDS | 0.458 | 0.059 | 2.271 | *** | Support |
Model fitting index results
| Fit index | Standard value | Statistical value | Suitability |
|---|---|---|---|
| CMIN/DF | CMIN/DF<3, ideal 3<CMIN/DF<5, acceptable | 1.692 | Yes |
| RMSEA | RMSEA <0.05, good RMSEA <0.08, acceptable | 0.024 | Yes |
| GFI | >0.8 | 0.909 | Yes |
| CFI | >0.8 | 0.872 | Yes |
| AGFI | >0.8 | 0.898 | Yes |
