A Study of Online Behavioural Data Analysis and Teaching Intervention Strategies for College English Learners
03. Feb. 2025
Über diesen Artikel
Online veröffentlicht: 03. Feb. 2025
Eingereicht: 01. Okt. 2024
Akzeptiert: 06. Jan. 2025
DOI: https://doi.org/10.2478/amns-2025-0017
Schlüsselwörter
© 2025 Hui Zhang, published by Sciendo
This work is licensed under the Creative Commons Attribution 4.0 International License.
Figure 1.

Figure 2.

Figure 3.

Figure 4.

Figure 5.

Figure 6.

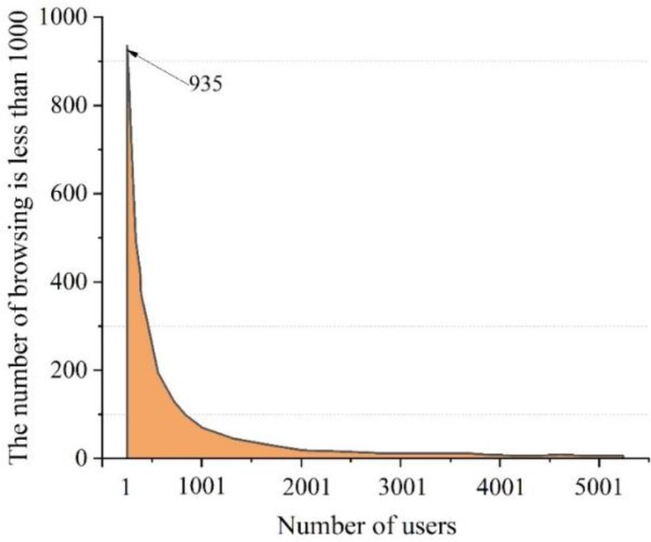
Figure 7.

Figure 8.

Figure 9.

Students and students interaction two dimensional matrices
| S1 | S2 | S3 | S4 | S5 | S6 | …… | T | |
|---|---|---|---|---|---|---|---|---|
| S1 | 0 | 1 | 0 | 0 | 1 | 0 | …… | 2 |
| S2 | 0 | 0 | 2 | 1 | 0 | 0 | …… | 4 |
| S3 | 2 | 0 | 0 | 0 | 1 | 0 | …… | 6 |
| S4 | 1 | 2 | 0 | 0 | 0 | 0 | …… | 4 |
| S5 | 0 | 0 | 1 | 0 | 1 | 0 | …… | 2 |
| S6 | 1 | 1 | 0 | 0 | 0 | 1 | …… | 3 |
| …… | …… | …… | …… | …… | …… | …… | …… | …… |
| T | 2 | 3 | 3 | 4 | 3 | 2 | …… | 0 |
Relative proximity to central analysis
| English learner | Short cut | Proximity center | English learner | Short cut | Proximity center |
|---|---|---|---|---|---|
| 18 | 224 | 0.29 | 23 | 231 | 0.272 |
| 30 | 224 | 0.29 | 39 | 231 | 0.272 |
| 10 | 224 | 0.29 | 47 | 231 | 0.272 |
| 33 | 224 | 0.29 | 44 | 291 | 0.262 |
| 13 | 225 | 0.289 | 25 | 231 | 0.272 |
| 22 | 225 | 0.289 | 38 | 231 | 0.272 |
| 5 | 225 | 0.289 | 45 | 232 | 0.271 |
| 1 | 225 | 0.289 | 53 | 232 | 0.271 |
| 32 | 226 | 0.288 | 48 | 232 | 0.271 |
| 17 | 227 | 0.286 | 58 | 232 | 0.271 |
| 12 | 226 | 0.286 | 56 | 233 | 0.27 |
| 15 | 227 | 0.286 | 46 | 253 | 0.27 |
| 60 | 227 | 0.286 | 37 | 233 | 0.27 |
| 16 | 227 | 0.286 | 40 | 233 | 0.27 |
| 34 | 227 | 0.286 | 49 | 2353 | 0.27 |
| 20 | 227 | 0.286 | 28 | 293 | 0.27 |
| 29 | 228 | 0.285 | 59 | 234 | 0.269 |
| 31 | 228 | 0.285 | 54 | 234 | 0.269 |
| 36 | 228 | 0.285 | 50 | 235 | 0.267 |
| 55 | 228 | 0.285 | 42 | 236 | 0.266 |
| 19 | 228 | 0.285 | 43 | 238 | 0.264 |
| 3 | 228 | 0.285 | 52 | 239 | 0.263 |
| 27 | 228 | 0.285 | 57 | 299 | 0.263 |
| 18 | 224 | 0.29 | 23 | 231 | 0.272 |
| 30 | 224 | 0.29 | 39 | 231 | 0.272 |
| 10 | 224 | 0.29 | 47 | 231 | 0.272 |
| 33 | 224 | 0.29 | 44 | 291 | 0.262 |
| 13 | 225 | 0.289 | 25 | 231 | 0.272 |
| 22 | 225 | 0.289 | 38 | 231 | 0.272 |
Online learning behavior characteristics
| Feature category | Behavior characteristics | Code |
|---|---|---|
| Course access | Online completion learning | OCD |
| Online submission task | OCN | |
| After class | PT | |
| After class | PMN | |
| Video viewing | Online view | ST |
| Online learning | LWT | |
| Job performance | Whether homework is repeated | SVN |
| Job submission moment | OCPN | |
| Is the assignment submitted | OCRN | |
| Finish your homework online | OTPN | |
| Interaction situation | Reply online | OTRN |
| Interactive online learning | LIN | |
| After class | PPN | |
| After-school reply | PRN |
Relative point center analysis
| English learner | Point of point | Point of entry | Point center | English learner | Point of point | Point of entry | Point center |
|---|---|---|---|---|---|---|---|
| 2 | 20 | 49 | 0.57 | 56 | 10 | 9 | 0.15 |
| 14 | 19 | 31 | 0.41 | 6 | 7 | 11 | 0.14 |
| 26 | 27 | 14 | 0.34 | 39 | 12 | 6 | 0.14 |
| 4 | 26 | 11 | 0.3 | 45 | 13 | 5 | 0.14 |
| 11 | 17 | 20 | 29.01 | 52 | 9 | 9 | 0.14 |
| 8 | 20 | 11 | 0.25 | 61 | 10 | 8 | 0.14 |
| 13 | 14 | 17 | 0.25 | 26 | 10 | 7 | 0.14 |
| 18 | 14 | 17 | 0.25 | 29 | 9 | 8 | 0.14 |
| 24 | 25 | 16 | 0.25 | 37 | 8 | 9 | 0.14 |
| 22 | 18 | 12 | 23.01 | 42 | 8 | 9 | 0.14 |
| 33 | 15 | 15 | 0.24 | 47 | 6 | 11 | 0.14 |
| 5 | 19 | 10 | 0.24 | 24 | 5 | 11 | 0.13 |
| 30 | 13 | 15 | 0.23 | 40 | 7 | 8 | 0.12 |
| 10 | 15 | 12 | 0.23 | 54 | 9 | 6 | 0.12 |
| 15 | 13 | 14 | 0.22 | 36 | 6 | 8 | 0.11 |
| 20 | 20 | 7 | 0.22 | 46 | 7 | 7 | 0.11 |
| 32 | 13 | 20 | 0.22 | 48 | 8 | 6 | 0.11 |
| 21 | 16 | 10 | 0.21 | 49 | 8 | 6 | 0.11 |
| 27 | 13 | 14 | 0.21 | 57 | 5 | 9 | 0.11 |
| 1 | 20 | 5 | 0.2 | 59 | 8 | 6 | 0.11 |
| 12 | 13 | 13 | 0.2 | 38 | 6 | 7 | 0.1 |
| 19 | 13 | 2 | 0.2 | 41 | 6 | 7 | 0.1 |
| 16 | 16 | 10 | 0.19 | 50 | 6 | 7 | 0.1 |
| 3 | 12 | 11 | 0.19 | 55 | 9 | 4 | 0.1 |
| 17 | 11 | 11 | 0.18 | 60 | 6 | 7 | 0.1 |
| 7 | 12 | 9 | 0.17 | 51 | 7 | 5 | 0.09 |
| 9 | 10 | 11 | 0.17 | 43 | 4 | 5 | 0.07 |
| 31 | 8 | 13 | 0.27 | 44 | 3 | 4 | 0.05 |
| 34 | 12 | 9 | 0.17 | 53 | 4 | 3 | 0.05 |
Relative intermediate analysis
| English learner | Betweenners | Relative central degree | English learner | Betweenners | Relative central degree |
|---|---|---|---|---|---|
| 2 | 50.226 | 0.029 | 31 | 9.327 | 0.001 |
| 4 | 29.1 | 0.018 | 55 | 8.853 | 0.006 |
| 24 | 29.257 | 0.016 | 20 | 8.46 | 0.006 |
| 14 | 24.383 | 0.015 | 21 | 7.71 | 0.005 |
| 50 | 22.433 | 0.014 | 29 | 7.26 | 0.005 |
| 18 | 20.583 | 0.013 | 51 | 7.21 | 0.005 |
| 10 | 20.3 | 0.012 | 39 | 5.677 | 0.004 |
| 26 | 20.133 | 0.012 | 23 | 5.51 | 0.004 |
| 13 | 19.85 | 0.012 | 25 | 5.427 | 0.004 |
| 8 | 18.526 | 0.011 | 48 | 5.343 | 0.004 |
| 33 | 16.38 | 0.01 | 35 | 5.26 | 0.004 |
| 22 | 16.217 | 0.01 | 53 | 5.177 | 0.004 |
| 5 | 15.6 | 0.01 | 44 | 4.627 | 0.004 |
| 17 | 15.183 | 0.01 | 45 | 4.593 | 0.004 |
| 52 | 14.993 | 0.009 | 93 | 4.51 | 0.004 |
| 11 | 14.693 | 0.009 | 47 | 4.127 | 0.003 |
| 16 | 14.267 | 0.009 | 40 | 2.927 | 0.003 |
| 34 | 14.217 | 0.009 | 56 | 2.01 | 0.002 |
| 12 | 14.1 | 0.009 | 58 | 2.427 | 0.002 |
| 60 | 13.68 | 0.009 | 49 | 2.377 | 0.002 |
| 36 | 12.68 | 0.008 | 59 | 2.32 | 0.002 |
| 15 | 12.183 | 0.008 | 37 | 2.26 | 0.002 |
| 1 | 11.017 | 0.007 | 54 | 2.01 | 0.002 |
| 27 | 10.633 | 0.007 | 28 | 1.577 | 0.002 |
| 41 | 10.183 | 0.007 | 50 | 1.653 | 0.002 |
| 19 | 9.767 | 0.006 | 46 | 1.593 | 0.002 |
| 6 | 9.66 | 0.006 | 42 | 0.76 | 0.001 |
| 9 | 9.6 | 0.006 | 43 | 0.01 | 0.001 |
| 7 | 9.6 | 0.006 | 52 | 0.01 | 0.001 |
Density analysis
| 1 | 2 | 3 |
|---|---|---|
| Avg Value | Std Dev | Avg Wed Degree |
| 0.207 | 0.658 | 12.393 |
