A Study of Online Behavioural Data Analysis and Teaching Intervention Strategies for College English Learners
03 févr. 2025
À propos de cet article
Publié en ligne: 03 févr. 2025
Reçu: 01 oct. 2024
Accepté: 06 janv. 2025
DOI: https://doi.org/10.2478/amns-2025-0017
Mots clés
© 2025 Hui Zhang, published by Sciendo
This work is licensed under the Creative Commons Attribution 4.0 International License.
Figure 1.

Figure 2.

Figure 3.

Figure 4.

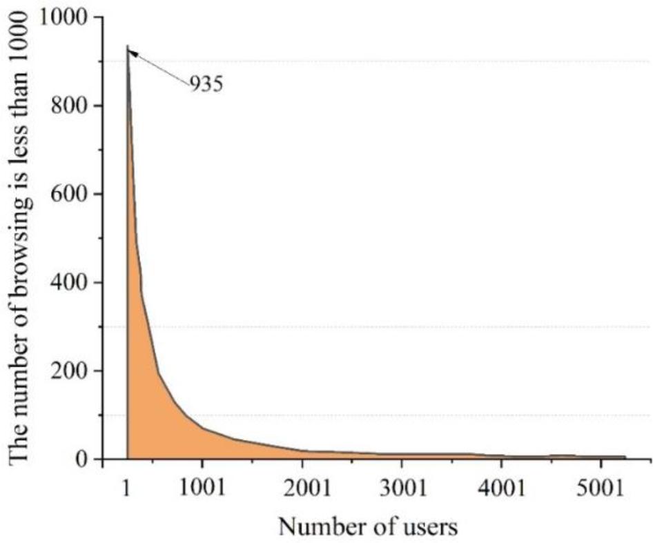
Figure 5.

Figure 6.

Figure 7.

Figure 8.

Figure 9.

Students and students interaction two dimensional matrices
| S1 | S2 | S3 | S4 | S5 | S6 | …… | T | |
|---|---|---|---|---|---|---|---|---|
| S1 | 0 | 1 | 0 | 0 | 1 | 0 | …… | 2 |
| S2 | 0 | 0 | 2 | 1 | 0 | 0 | …… | 4 |
| S3 | 2 | 0 | 0 | 0 | 1 | 0 | …… | 6 |
| S4 | 1 | 2 | 0 | 0 | 0 | 0 | …… | 4 |
| S5 | 0 | 0 | 1 | 0 | 1 | 0 | …… | 2 |
| S6 | 1 | 1 | 0 | 0 | 0 | 1 | …… | 3 |
| …… | …… | …… | …… | …… | …… | …… | …… | …… |
| T | 2 | 3 | 3 | 4 | 3 | 2 | …… | 0 |
Relative proximity to central analysis
| English learner | Short cut | Proximity center | English learner | Short cut | Proximity center |
|---|---|---|---|---|---|
| 18 | 224 | 0.29 | 23 | 231 | 0.272 |
| 30 | 224 | 0.29 | 39 | 231 | 0.272 |
| 10 | 224 | 0.29 | 47 | 231 | 0.272 |
| 33 | 224 | 0.29 | 44 | 291 | 0.262 |
| 13 | 225 | 0.289 | 25 | 231 | 0.272 |
| 22 | 225 | 0.289 | 38 | 231 | 0.272 |
| 5 | 225 | 0.289 | 45 | 232 | 0.271 |
| 1 | 225 | 0.289 | 53 | 232 | 0.271 |
| 32 | 226 | 0.288 | 48 | 232 | 0.271 |
| 17 | 227 | 0.286 | 58 | 232 | 0.271 |
| 12 | 226 | 0.286 | 56 | 233 | 0.27 |
| 15 | 227 | 0.286 | 46 | 253 | 0.27 |
| 60 | 227 | 0.286 | 37 | 233 | 0.27 |
| 16 | 227 | 0.286 | 40 | 233 | 0.27 |
| 34 | 227 | 0.286 | 49 | 2353 | 0.27 |
| 20 | 227 | 0.286 | 28 | 293 | 0.27 |
| 29 | 228 | 0.285 | 59 | 234 | 0.269 |
| 31 | 228 | 0.285 | 54 | 234 | 0.269 |
| 36 | 228 | 0.285 | 50 | 235 | 0.267 |
| 55 | 228 | 0.285 | 42 | 236 | 0.266 |
| 19 | 228 | 0.285 | 43 | 238 | 0.264 |
| 3 | 228 | 0.285 | 52 | 239 | 0.263 |
| 27 | 228 | 0.285 | 57 | 299 | 0.263 |
| 18 | 224 | 0.29 | 23 | 231 | 0.272 |
| 30 | 224 | 0.29 | 39 | 231 | 0.272 |
| 10 | 224 | 0.29 | 47 | 231 | 0.272 |
| 33 | 224 | 0.29 | 44 | 291 | 0.262 |
| 13 | 225 | 0.289 | 25 | 231 | 0.272 |
| 22 | 225 | 0.289 | 38 | 231 | 0.272 |
Online learning behavior characteristics
| Feature category | Behavior characteristics | Code |
|---|---|---|
| Course access | Online completion learning | OCD |
| Online submission task | OCN | |
| After class | PT | |
| After class | PMN | |
| Video viewing | Online view | ST |
| Online learning | LWT | |
| Job performance | Whether homework is repeated | SVN |
| Job submission moment | OCPN | |
| Is the assignment submitted | OCRN | |
| Finish your homework online | OTPN | |
| Interaction situation | Reply online | OTRN |
| Interactive online learning | LIN | |
| After class | PPN | |
| After-school reply | PRN |
Relative point center analysis
| English learner | Point of point | Point of entry | Point center | English learner | Point of point | Point of entry | Point center |
|---|---|---|---|---|---|---|---|
| 2 | 20 | 49 | 0.57 | 56 | 10 | 9 | 0.15 |
| 14 | 19 | 31 | 0.41 | 6 | 7 | 11 | 0.14 |
| 26 | 27 | 14 | 0.34 | 39 | 12 | 6 | 0.14 |
| 4 | 26 | 11 | 0.3 | 45 | 13 | 5 | 0.14 |
| 11 | 17 | 20 | 29.01 | 52 | 9 | 9 | 0.14 |
| 8 | 20 | 11 | 0.25 | 61 | 10 | 8 | 0.14 |
| 13 | 14 | 17 | 0.25 | 26 | 10 | 7 | 0.14 |
| 18 | 14 | 17 | 0.25 | 29 | 9 | 8 | 0.14 |
| 24 | 25 | 16 | 0.25 | 37 | 8 | 9 | 0.14 |
| 22 | 18 | 12 | 23.01 | 42 | 8 | 9 | 0.14 |
| 33 | 15 | 15 | 0.24 | 47 | 6 | 11 | 0.14 |
| 5 | 19 | 10 | 0.24 | 24 | 5 | 11 | 0.13 |
| 30 | 13 | 15 | 0.23 | 40 | 7 | 8 | 0.12 |
| 10 | 15 | 12 | 0.23 | 54 | 9 | 6 | 0.12 |
| 15 | 13 | 14 | 0.22 | 36 | 6 | 8 | 0.11 |
| 20 | 20 | 7 | 0.22 | 46 | 7 | 7 | 0.11 |
| 32 | 13 | 20 | 0.22 | 48 | 8 | 6 | 0.11 |
| 21 | 16 | 10 | 0.21 | 49 | 8 | 6 | 0.11 |
| 27 | 13 | 14 | 0.21 | 57 | 5 | 9 | 0.11 |
| 1 | 20 | 5 | 0.2 | 59 | 8 | 6 | 0.11 |
| 12 | 13 | 13 | 0.2 | 38 | 6 | 7 | 0.1 |
| 19 | 13 | 2 | 0.2 | 41 | 6 | 7 | 0.1 |
| 16 | 16 | 10 | 0.19 | 50 | 6 | 7 | 0.1 |
| 3 | 12 | 11 | 0.19 | 55 | 9 | 4 | 0.1 |
| 17 | 11 | 11 | 0.18 | 60 | 6 | 7 | 0.1 |
| 7 | 12 | 9 | 0.17 | 51 | 7 | 5 | 0.09 |
| 9 | 10 | 11 | 0.17 | 43 | 4 | 5 | 0.07 |
| 31 | 8 | 13 | 0.27 | 44 | 3 | 4 | 0.05 |
| 34 | 12 | 9 | 0.17 | 53 | 4 | 3 | 0.05 |
Relative intermediate analysis
| English learner | Betweenners | Relative central degree | English learner | Betweenners | Relative central degree |
|---|---|---|---|---|---|
| 2 | 50.226 | 0.029 | 31 | 9.327 | 0.001 |
| 4 | 29.1 | 0.018 | 55 | 8.853 | 0.006 |
| 24 | 29.257 | 0.016 | 20 | 8.46 | 0.006 |
| 14 | 24.383 | 0.015 | 21 | 7.71 | 0.005 |
| 50 | 22.433 | 0.014 | 29 | 7.26 | 0.005 |
| 18 | 20.583 | 0.013 | 51 | 7.21 | 0.005 |
| 10 | 20.3 | 0.012 | 39 | 5.677 | 0.004 |
| 26 | 20.133 | 0.012 | 23 | 5.51 | 0.004 |
| 13 | 19.85 | 0.012 | 25 | 5.427 | 0.004 |
| 8 | 18.526 | 0.011 | 48 | 5.343 | 0.004 |
| 33 | 16.38 | 0.01 | 35 | 5.26 | 0.004 |
| 22 | 16.217 | 0.01 | 53 | 5.177 | 0.004 |
| 5 | 15.6 | 0.01 | 44 | 4.627 | 0.004 |
| 17 | 15.183 | 0.01 | 45 | 4.593 | 0.004 |
| 52 | 14.993 | 0.009 | 93 | 4.51 | 0.004 |
| 11 | 14.693 | 0.009 | 47 | 4.127 | 0.003 |
| 16 | 14.267 | 0.009 | 40 | 2.927 | 0.003 |
| 34 | 14.217 | 0.009 | 56 | 2.01 | 0.002 |
| 12 | 14.1 | 0.009 | 58 | 2.427 | 0.002 |
| 60 | 13.68 | 0.009 | 49 | 2.377 | 0.002 |
| 36 | 12.68 | 0.008 | 59 | 2.32 | 0.002 |
| 15 | 12.183 | 0.008 | 37 | 2.26 | 0.002 |
| 1 | 11.017 | 0.007 | 54 | 2.01 | 0.002 |
| 27 | 10.633 | 0.007 | 28 | 1.577 | 0.002 |
| 41 | 10.183 | 0.007 | 50 | 1.653 | 0.002 |
| 19 | 9.767 | 0.006 | 46 | 1.593 | 0.002 |
| 6 | 9.66 | 0.006 | 42 | 0.76 | 0.001 |
| 9 | 9.6 | 0.006 | 43 | 0.01 | 0.001 |
| 7 | 9.6 | 0.006 | 52 | 0.01 | 0.001 |
Density analysis
| 1 | 2 | 3 |
|---|---|---|
| Avg Value | Std Dev | Avg Wed Degree |
| 0.207 | 0.658 | 12.393 |
