Application of intelligent multi-sensor technology in higher education teaching system
Published Online: Mar 17, 2025
Received: Nov 15, 2024
Accepted: Feb 15, 2025
DOI: https://doi.org/10.2478/amns-2025-0207
Keywords
© 2025 Yanbin Liu et al., published by Sciendo
This work is licensed under the Creative Commons Attribution 4.0 International License.
The current Chinese education and teaching model is based on behaviorism, while the traditional education method is behavior-oriented [1]. In the traditional teaching mode, students transfer knowledge through oral and blackboard writing. Under the guidance of teachers, students acquire knowledge through listening and writing, and complete the transfer of knowledge. The transfer of knowledge is dominated by teachers, while students are passive. Although traditional multi-sensor technology has its own advantages, with the development of information technology today, multi-sensor technology has been widely used in education and teaching. Intelligent multi-sensors have become an important tool in education and teaching. The application of multi-sensor technology for teaching is the inevitable trend of the current university education reform and development, and it also plays an important role in teaching. Multi-sensor technology has promoted the reform and development of education in China.
On this basis, scholars at home and abroad have conducted some discussions on the integration of education and information technology: Jin [2] believes that with the change of educational equity value proposition and the development of information technology, the coupling and constraint mechanism of information technology to promote educational equity may to generate new uncertainties, it is necessary to examine the interaction between the two from a longer-term dynamic perspective. Lu et al. [3] advocated that educational technology needs to adjust the discipline positioning and comprehensively update the concept of hierarchical talent training; adhere to discipline self-confidence, vigorously solve the problem of separation of theory and practice; promote discipline optimization, and adhere to the overall situation of serving the construction of a high-quality education system. Meena et al. [4] proposed that during the Covid-19 pandemic, information technology enables students in schools to continue their learning, and school management and students choose appropriate IT tools for their learning to minimize the impact of the outbreak. Cueva and Inga [5] found that technological developments have been integrated into the educational environment and enabled teachers to be better trained in education, technological tools, ICT combined with flipped learning models to benefit and motivate students, educational ICT and flipped learning the application of learning in the educational community is a way of innovating the teaching process. However, these scholars have demonstrated more from the aspect of educational information technology, and have found very little research on how multi-sensor technology can be applied in higher education systems. The relevant literature on multi-sensor technology was consulted for this.
Sensor technology is widely used, and some scholars also have some research on multi-sensor technology: Sowah et al. [6] mainly studied the design and implementation of a multi-sensor fire detection and network alarm system based on fuzzy logic. Segura-Garcia et al. [7] constructing a platform to collect physiological data, collected by multiple sensors, the study found the system to be useful for mid-term monitoring of physical activity. Saqueb and Sertel [8] introduced a compressed terahertz imaging system that employs sparse multiple sensors to speed up data acquisition. However, these scholars did not discuss the application research of intelligent multi-sensor technology in higher education teaching system, but only discussed its significance unilaterally.
This paper drew the following conclusions by analyzing the application of higher education teaching system based on intelligent multi-sensor technology: the education and teaching system of multi-sensor technology can give full play to students' enthusiasm for learning; this teaching system enabled teachers to push various learning resources and learning content to meet the individual needs of students and promote their personal development; at the same time, it had certain guiding significance for teachers and students to adjust teaching and learning methods in a timely manner.
In practical applications, there is always a deviation between the measured value of the sensor and the real value due to changes in environmental information and fluctuations in the working state of the sensor. Therefore, the output data of the sensor includes both valid data and useless data [9]. If it is indiscriminate in the fusion process, then there is a situation where it cannot be used.
According to the characteristics of each sensor, and combined with the engineering experience of the experimenter and the professional knowledge in this field, the relationship between the information obtained by each sensor and the fusion result is classified. In the detection system, the output of each sensor is weighted. It is assumed that there are m sensors to detect the same characteristics of an object at the same time, then the weight of each sensor is determined according to the dispersion of the output data [10]. The reliability of the method is obtained by weighted fusion of all the data collected at one time. Figure 1 shows the schema architecture of the algorithm.

Fusion algorithm structure diagram
In the sensor detection system, the true value of the target feature is
The total variance is:
After calculation, it can be obtained:
It is assumed that
So it can be obtained:
From Formula (5), it can be seen that since the variance
The above expresses the problem of a conditional maximum value. When the sum of the weight coefficients of each sensor is 1, the minimum value A (fusion result) is obtained [12]. The conditional extreme value problem is solved using the Lagrangian product method. First, a function is built according to Formula (6):
Formula (8) is equal to 0 to obtain:
Formula (9) can be transformed into:
According to the conditional extreme value
That is:
The above formulas are sorted out, and there are:
The minimum weighting factor according to Formula (13) is:
It is obtained from Formula (14) that the data fusion error is least when the sum of possessed values is equal to 1 [13]. The data distribution after fusion can be obtained:
The output state of the sensor is related to its working principle, working characteristics, dynamically changing environmental factors, and operator's experimental error [14]. Through the comprehensive analysis of various factors, it is concluded that the measurement variance of the sensor is not a constant value. If a fixed variance is used for sensor data fusion, the final fusion result would have a large error [15].
When multiple different sensors detect the same object at the same time, the measurement data of each sensor would not affect each other, but are independent of each other. In this way, the average value of the primary output of each sensor can be directly obtained, and the square of the difference between the output of each sensor and the average value can be used to determine the variance of the sensor in this working state [16]. Finally, an iterative approach is used to obtain the final variance from the resulting variance values [17].
It is assumed that
The change prediction
The average value of the variance of the
In order to better complete the teaching of colleges and universities, this paper used Fraction (Xiamen) Technology Co., Ltd. “Fresco Intelligent Teaching System” to design a set of college teaching systems based on intelligent multi-sensor technology. “Fresco Intelligent Teaching System” is the “brain” with teaching, management and evaluation as the core. It realizes the integration of various information resources such as teaching, management, and evaluation through advanced technologies such as teaching, management, and evaluation. Figure 2 shows the education and teaching system based on multi-sensor technology.

Education and teaching system based on multi-sensor technology
“Fresco Intelligent Teaching System” is divided into three parts: teachers, students and parents. The teacher version is for teachers, it can help teachers to conduct online assessment of classroom interactive teaching and intelligent online correction of homework; it dynamically collects and intelligently analyzes the knowledge of students in preview tests, classroom random tests, standardized tests, etc., so that teachers can better personalize teaching, thereby improving teaching quality. The system provides students with functions such as pre-learning preview, classroom interaction, online assessment, and online homework. The edition of parents is designed to help parents better understand their child's learning process. It can help them avoid learning difficulties and avoid the expansion of knowledge loopholes.
The application and practice of the higher education teaching system based on intelligent multi-sensor technology in teaching has changed the traditional “lecture” teaching method and teaching concept, and made a fundamental change in the role of teachers.
This experiment takes the students of Shanghai University of Finance and Economics Zhejiang College in the 2020 class as the research object. Class 1 was the experimental group, and class 2 was the control group. In the teaching practice of more than two months, the intelligent multi-sensor technology teaching system was used, and SPSS24 was used to make statistics on the learning effect of the two classes.
It can be seen from Figure 3 that the average score of class 1 in the test was 91.2, while the average score of class 2 was 88.9.

Test results for class 1 and class 2
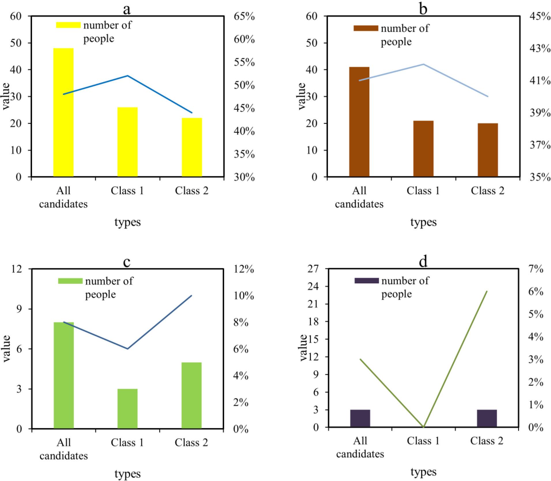
In Figure 4, Figure 4(a) is excellent, and Figure 4(b) is good; Figure 4(c) is qualified, and Figure 4(d) is unqualified. It can be found that although class 1 had more outstanding students than the class 2, there were fewer high-performing students than the control group, and more failing students than the control group. Therefore, in terms of overall scores, the difference between the two classes was not that big.

Comparisons of the class 1 and class 2
In order to verify the scientific and correctness of the above hypothesis, this paper used SPSS24 to conduct an independent sample T test, and compared it with the scores of the control group. The specific results are shown in Table 1.
T-test for the results of the thorough examination
| class | Class 1 | Class 2 |
|---|---|---|
| N | 50 | 50 |
| mean value | 91.16 | 88.92 |
| standard deviation | 19.485 | 19.176 |
| standard deviation of the mean | 2.784 | 2.712 |
| F | 0.143 | |
| P | 0.706 | |
| Sig. | 0.565 | |
SPSS statistical results showed that: the average score of class 1 was 91.16, while the average score of class 2 of the control group was 88.92. The average score of class 1 was higher than that of class 2, which was 2.24. The test showed that: F=0.143, P=0.706>0.05, and the variance was better.
From Figure 5, It can be seen that the average scores of class 1 of the experimental group and class 2 of the control group were 101.3 and 96.3, respectively. The average score of class 1 in the 2020 school year was 5 points higher than that of class 2.

The final exam score report of the class 1 and class 2
In Figure 6, Figure 6(a) is excellent, and Figure 6(b) is good; Figure 6(c) is qualified, and Figure 6(d) is unqualified. In this final exam, there were 26 students in the class 1 with excellent grades, more than 22 students in the class 2; there were 21 students in the class 1 with good grades, slightly higher than the 20 in the class 2; the class 1 had 3 students in the grid interval, which was slightly lower than the 5 students in the class 2.

Comparisons of final exam results between the class 1 and class 2
The scientific and accuracy of the above views have been verified. Through the analysis of the academic performance of the two classes, SPSS software was used to conduct a separate T test for the academic performance of the class. The results are shown in Table 2.
T test for final exam results
| class | Class 1 | Class 2 |
|---|---|---|
| N | 50 | 50 |
| mean value | 101.26 | 96.26 |
| standard deviation | 9.516 | 14.851 |
| standard deviation of the mean | 1.346 | 2.1 |
| F | 7.046 | |
| P | 0.009 | |
| Sig. | 0.048 | |
It can be seen from Table 2 that the average grade of class 1 was 101.26, while the grade of class 2 was 96.26. The average score of class 1 in the 2020 school year was higher than that of class 2 by 5 points, and the two groups were compared using the T-test of SPSS software. The test showed: F=7.046, P=0.009<0.05, and the variance value was not uniform. After teaching with multi-sensor technology, there was a significant difference in students' academic performance, which indicated that the teaching system using multi-sensor technology can improve students' academic performance.
This paper mainly investigated the teaching attitude, teaching resources, teaching interaction and teaching practice based on multi-sensor technology. A total of 50 questionnaires were distributed in this paper, all of which were valid questionnaires.
Students' perceptions of the education and teaching system based on multi-sensor technology are shown in Figure 7. Figure 7(a) is the evaluation of the education and teaching system based on multi-sensor technology, and Figure 7(b) is the content and function analysis. 80% of students were satisfied with the education and teaching system of multi-sensor technology, and they were more approving of the education and teaching system of multi-sensor technology. Through the analysis of the system, it was found that the system can effectively improve the comprehensive quality of students. 72% of college students had evaluated the application of multi-sensor technology in teaching, but 28% of students still thought that the application of multi-sensor technology in teaching was still insufficient. This paper believed that multi-sensor technology plays an important role in cultivating students' individuality and improving their quality. However, in the future, it is necessary to increase the corresponding content and functions according to different needs, so as to make it better adapt to different development.

Views on educational teaching system
Figure 8(a) is the analysis of the preview resources, and Figure 8(b) is the analysis of the knowledge point label, while Figure 8(c) is the analysis of the wrong question of the knowledge point. Among them, 86% of the subjects were satisfied with the teachers' various preview resources, which indicated that personalized preview resources can well meet students' learning needs and can effectively improve the preview effect. 85% of students believed that by labeling various resources, they can effectively improve their learning efficiency, so that all resources were labelled according to the subject knowledge system tree. Thus, teachers can accurately find matching knowledge points or chapters, and better provide personalized teaching assistance, thereby promoting students' learning. 87% of the students felt that the wrong question rework module was very helpful to their learning. Most students believed that the system can classify incorrect knowledge and provide corresponding exercises. This enabled students to review in a targeted manner and quickly eliminate weak points.

Teaching resources
The learning interaction situation is shown in Figure 9. Figure 9(a) is whether they are willing to interact in the discussion area, and Figure 9(b) is whether the education and teaching system of multi-sensor technology promotes interaction. 81% of students were willing to communicate with teachers and classmates in the discussion area, and 83% of students said that this system can enhance teacher-student and teacher-student interaction. This showed that the education and teaching system based on multi-sensor technology had personalized interactive functions. It can solve students' problems in knowledge, skills, emotions, attitudes, etc.

Interactive situation
The experience of the teaching system is shown in Figure 10. After two months of application of multi-sensor technology, more than 90% of the students indicated that they could continue to use this system in the future. This showed that the application of multi-sensor technology in education and teaching had been accepted by the majority of students.

Personalized teaching system experience
From the comparison of students' scores and the analysis of questionnaires, it can be found that most students and teachers currently agreed with this teaching system of multi-sensor technology. Teachers push various learning resources, learning content and other information through the system, which can not only meet the individual needs of students, but also promote their personal development. The education and teaching system using multi-sensor technology can observe the mastery of each knowledge. Students can also use their own learning feedback to identify their own shortcomings. In the learning process, through the observation of real-time learning data, it can help teachers and students to adjust teaching strategies and learning methods in a timely manner. By analyzing and evaluating the application of multi-sensor technology in education and teaching, and using SPSS software to compare the results of the two groups of students' bottom-up test and final exam, as well as through questionnaires, the use of multi-sensor technology in teaching is understood. Experiments showed that the education and teaching system developed by using multi-sensor technology can achieve personalized teaching effect, thereby improving students' learning efficiency.
The authors declare that the research was conducted in the absence of any commercial or financial relationships that could be construed as a potential conflict of interest.
Yanbin Liu is responsible for the writing of the manuscript, Peina Liang is responsible for data collection and statistics, and Jingjie Ma is responsible for the revision of the manuscript.
The authors have not disclosed any funding.
The experimental data used to support the findings of this study are available from the corresponding author upon request.
