Study on the Application of New Media Technology in the Digital Protection and Dissemination of Traditional Drama-Taking Sichuan Opera as an Example
Pubblicato online: 26 set 2025
Ricevuto: 10 gen 2025
Accettato: 06 mag 2025
DOI: https://doi.org/10.2478/amns-2025-1048
Parole chiave
© 2025 Di Wu, published by Sciendo
This work is licensed under the Creative Commons Attribution 4.0 International License.
The art of Sichuan opera originated from the folk art form in Sichuan, and has gradually formed a unique performing style and artistic characteristics through historical precipitation and inheritance. It is well known for its passionate singing, exquisite performance skills and rich and diverse performance forms [1-4]. The repertoire of Sichuan opera is rich and varied, the storyline is vivid and interesting, and the acting skills of the actors are extremely demanding, requiring the mastery of the basic skills of singing, reciting, acting and fighting [5-7]. The uniqueness of Sichuan opera lies in its special singing voice and innovative performance forms, making it a treasure of Chinese opera art [8-9].
However, with the change of the times and the development of the society, the traditional drama represented by the art of Sichuan opera is facing many challenges and dilemmas. On the one hand, due to the process of urbanization and the rise of new media, the audience’s aesthetic needs have changed, and the inheritance of traditional Sichuan opera art among the younger generation faces difficulties [10-13]. On the other hand, the inheritance of the art of Sichuan opera requires long-term professional training and experience accumulation, but the traditional Sichuan opera troupes lack of inheritance of talent loss is serious. These problems make the inheritance and development of the art of Sichuan opera extremely difficult [14-17]. In the era of new media technology, digitalization has brought new opportunities for the preservation and dissemination of most traditional cultures, including Sichuan opera and other dramas [18-20].
The advantages of digital preservation and dissemination of traditional culture are mainly reflected in the following: digital preservation and dissemination not only enables traditional culture to transcend the limitations of time and space, no longer confined to a specific region and time [21-22], but also enables traditional culture to be more rich and diversified, and attracts more audiences by presenting it through audio, video and other forms, and facilitates interactions and interactions to enhance the effect of preservation and dissemination. It can also facilitate interaction and interaction to involve the audience and enhance the effect of protection and dissemination [23-26].
Literature [27] examined the digital preservation and dissemination of non-heritage. Taking martial arts as an example, it points out that there are problems such as imperfect development, and proposes measures to improve the protection and dissemination of NRM with digital preservation. Literature [28] describes the study of digital dissemination of NRM traditional culture in the meta-universe as a future trend in the integration of cultural heritage and digital technology, which injects new vitality into cultural heritage and brings more opportunities and challenges. Based on analyzing the current situation of digital games, literature [29] proposed digital games as a way to protect and disseminate Chinese NRM. And based on the light game design of WeChat platform, it demonstrates the effective integration of non-heritage elements game design by taking Hangzhou traditional food culture as an example. Literature [30] explored the application of new media interactive art in the protection and dissemination of traditional culture. Through literature collection and data analysis, it reveals that the application of new media interactive art is conducive to the restoration of traditional cultural resources and can preserve and disseminate cultural resources. Literature [31] describes the application of digital virtual image technology in the preservation and dissemination of cultural heritage. It is not only conducive to increasing the economic value of cultural heritage, but also expands the utilization space of cultural heritage, and is able to realize the protection and transmission of cultural heritage. Literature [32] explored the protection of cultural heritage under VR, taking cultural heritage sites as an example. Virtual reality intervention in cultural heritage digitization was mentioned, expanding the types of images in visual culture. Literature [33] proposes the use of digital twin technology to build a digital village scene based on the many challenges faced by ethnic-specific non-heritage. This approach breaks the physical space limitation of non-heritage dissemination, which is conducive to the protection and development of non-heritage, thus helping rural revitalization. Literature [34] developed a digital platform for museums. The platform is implemented and demonstrated in an interactive virtual tour of the museum, aiming to create a holistic interactive experience for both physical and web visitors. Literature [35] outlines the digitization of cultural heritage information resources and the construction of a resource-sharing platform for digital heritage conservation and dissemination, and develops a prediction of the direction of digitization.
In summary, digitization can play an important role in the protection, dissemination and development of traditional culture, but Sichuan opera and other dramas, which are also traditional cultures, are not reflected in the protection and dissemination of traditional culture by digitization, exposing the fact that Chinese drama, as represented by Sichuan opera, is gradually going into decline. This is not only a loss in the field of theater, but also a loss in the excellent traditional culture of China, and a loss in the world cultural heritage, so the research on the digital preservation and dissemination of Sichuan opera and other traditional dramas is of great historical significance.
The article firstly gives an overview of the relevant theories of complex networks, then on the basis of the SCIR model, comprehensively considering the regulation of traditional drama dissemination by the relevant departments and the phenomenon of secondary dissemination by immunized users, it proposes the direct immunization probability for the influence of social factors on traditional drama dissemination, and also proposes the transition probability of the transition from immunized to contacted state based on the social reinforcement effect, and constructs a model of traditional drama dissemination based on the DR- SCIR-based single-layer social network traditional drama transmission model. Subsequently, we will analyze the static topological characteristics of the social network using the complex network technology, and select the typical Sichuan local Sichuan opera topic “Shu Feng Ya Yun” as the research material for traditional drama dissemination, construct the connection matrix according to the connection between the topic and the users, and conduct the node importance metrics according to the connection between the nodes of the topic and the topic of the relevant individuals and official users in the dissemination of the information. According to the connection between the topic and users, the connection matrix is constructed, and the nodes of individuals, official users and topics in the information dissemination of the topic are characterized by the node importance index, and the topological characteristics of the whole social network are analyzed. Finally, the model of this paper is simulated to analyze the influence of opinion leaders, user viewpoint interaction and topic interest on traditional drama communication and the influence of topic interest on traditional drama communication.
A complex network is a network consisting of a large number of interconnected nodes whose connections and structure usually exhibit a certain degree of complexity and non-uniformity. In general, when representing a network in the form of a graph, each node represents an entity or individual in the network, while edges represent connections or relationships between nodes. A network containing

Relationship between the four types of graphs
The adjacency matrix is a two-dimensional array in which the rows and columns correspond to the nodes in the network, and the elements of the matrix indicate whether there are connections or edges between the nodes. For an undirected graph, when there is an edge between node
The adjacency matrix Weighted directed graphs
Weighted undirected graphs
Unprivileged directed graphs
Unprivileged undirected graphs
In computing, the selection of an appropriate representation depends on the size of the network, the degree of sparsity, the mode of access, and the operations required, so it is important to select the appropriate method for representing and processing the network on a case-by-case basis.
In graph theory, degree is the number of connections between a node (or vertex) and other nodes (or vertices). Specifically, the degree of a node is the number of edges directly connected to it [36]. Generally,
For an undirected network consisting of
For a directed network consisting of
Among them.
For a network consisting of
The average path length is the average of the shortest path lengths between all pairs of nodes in the graph. To compute the average path length generally follow these steps:
Step 1: For each pair of nodes in the graph, calculate the shortest path length between them. This can be done by using the shortest path algorithm in graph theory.
Step 2: Sum all the shortest path lengths to get the total path length.
Step 3: Divide the total path length by the number of node pairs to get the average path length:
Where
The clustering coefficient is a measure of the degree of aggregation of nodes in a network. The local clustering coefficient portrays the probability that any two neighbors of a node are also neighbors of each other, and is defined as the ratio of the number of closed triangles formed between the neighbors of a node to the number of connectors between all possible pairs of neighbors of that node.
For an unweighted undirected network with the number of nodes
where
The global tight clustering coefficient is used to measure the degree of clustering of the entire network and is defined as the average of the local tight clustering coefficients of all nodes:
The degree distribution refers to the distribution of degrees (i.e., the number of edges connected to a node) of individual nodes in a network. For an undirected network consisting of
where
The degree distribution only provides the distribution of node degrees and does not address the connectivity between nodes. Therefore, we will next examine the correlation between node degrees in a network, i.e., degree correlation. Degree correlation is a concept that describes the correlation between the degrees of nodes in a network. It measures which types of nodes in the network tend to be connected by nodes with higher degrees of connectivity and which types of nodes tend to be connected by nodes with lower degrees of connectivity. Degree correlation is usually quantified by the degree correlation coefficient.
The importance of a node is the degree to which a node in a network influences the structure and function of the network. The importance of a node can be measured by a variety of metrics that typically reflect the degree of centrality, influence, or role of the node in the network.
Degree centrality is the number of connections (degrees) a node has in the network. For a node with a degree value of
Proximity centrality is the reciprocal of the average shortest path from a node to other nodes. The proximity centrality of node
Where
The median centrality is the frequency with which a node acts as a bridge in the shortest path in the network. For a network with number of nodes
where
Regular networks are a special type of complex networks with highly ordered and regular connection patterns between nodes. Three kinds of coupling networks are shown in Fig. 2 (Figs. a~c are global coupling network, nearest neighbor coupling network and star coupling network, respectively).

Three coupled networks
The counterpart of the regular network is the random network. In this model, each pair of nodes in the network is connected with a certain probability, and the connections are independently and identically distributed. Random networks are generated in two ways:
ER random graph with fixed number of edges Step 1, Determine the number of nodes Step 2, Determine the number of edges Step 3, Randomly connect edges: Randomly select two nodes ER random graph with fixed probability of connected edges Step 1, Determine the number of nodes Step 2, Determine the connecting edge probability Step 3, Select the pair of nodes that do not have a connected edge, generate a random number and if a random number falls between 0 and Because the random network has randomness in the generation, so

A random graph of the different structures of the secondary

A random graph of the different structures of the secondary
The main construction algorithms for small-world networks are the Watts-Strogatz (WS) model and the Newman-Watts (NW) model. The construction algorithm for a WS small-world network is to create a ring network with
Scale-free networks are a commonly used model of scale-free networks. Scale-free networks have a power law distribution of node degree distribution, while most nodes are less connected, highly clustered, nodes in the network tend to form dense subgroups or communities, and the average shortest path between any two nodes in the network is shorter.
The algorithm for the construction of BA network is as follows:
Initially, Each time a new node is added, the node connects to an existing node with a probability that is proportional to the degree of the node. Specifically, the probability that a new node connects to an existing node is related to the degree
Where Repeat step 2 until the network reaches the desired size.
In order to study the propagation law of traditional drama information, the researchers introduced the contact state C(Contacted) on the basis of SIR model, constructed the SCIR traditional drama propagation model, and redefined the meanings of the four states of network users:
Susceptibility state S, which represents that the user has not yet been exposed to the information. The contact state C, representing the state in which the user has acquired traditional theater information but has not yet decided whether or not to disseminate the information. Dissemination state I, representing the state that the user has disseminated the traditional theater. Immunization state R, representing the state in which the user is already aware of the information but will not disseminate it.
Assuming that the total number of users remains constant during the propagation of the traditional theater, the total number of nodes in the corresponding SCIR network
That is, at any moment
The differential equation of the SCIR propagation model is:
where
The state transfer rule for the process of spreading with a situation is defined as follows:
After being exposed to the traditional drama, a part of the susceptible state users will transform to the contact state C with probability After exposure to the traditional drama, a part of the users in the contact state will transform to the propagation state I with probability Propagation state I transitions to immunization state R with probability Once a node is in immune state R, then its state will not change.
The social reinforcement effect is a phenomenon in which an individual’s repeated prompting by peers prior to making an opinion adoption or behavioral decision can have a cumulative effect on the user, thus influencing the final decision. Social psychology shows that, on the one hand, information that conforms to people’s subjective desires, impressions or prejudices is easily spread. On the other hand, information that triggers shock and panic among the public is also prone to be widely disseminated if it is not intervened in a timely manner. In view of the different characteristics of traditional drama, Wang Hui et al. classified the social reinforcement effect into positive social reinforcement effect and negative social reinforcement effect.
This paper imposes a social reinforcement effect on the immunized users, and at the same time, considering the actual situation of traditional drama transmission, sets the initial conditions of the social reinforcement effect, so that when the immunized users receive the same traditional drama information from their friends for a certain number of times, the immunized users may get out of the immunized state and thus re-transmit the traditional drama, and the probability of transmission for the positive social reinforcement effect increases with the number of contacts until the upper limit is reached. The probability of spreading for positive social reinforcement effect will increase with the number of contacts until it reaches the upper limit of the spreading probability. The probability of a negative social reinforcement effect decreases as the number of exposures increases until it decreases to zero.
It is assumed that the probability that the social reinforcement effect causes the immune user to shift to the contact state is
where
In summary, the social reinforcement effect
Common immunization strategies in complex network theory include the following three: random immunization, target immunization, and acquaintance immunization.
Random immunization, also known as uniform immunization, is based on the idea that a certain number of nodes are randomly selected as immune nodes in the network. For scale-free networks, the immunization threshold
where
The idea of target immunization, also known as selection immunization, is to select the nodes with large degree in the network to be immunized, and when the nodes with large degree are immunized, the edges connected to them will be removed from the network, which makes the propagation pathway greatly reduced [38]. For scale-free networks, the immunization threshold
Acquaintance immunity, also known as near-neighbor immunity, has an immunity threshold
Where,
In this paper, direct immunization is imposed on susceptible users based on random immunization. The infection mechanism of direct immunization is denoted as:
This paper summarizes the social factors that influence the effectiveness of direct immunization into the following categories:
The intensity of intervention by relevant departments When the relevant departments take restrictive measures on the dissemination of traditional drama, the greater the intensity of intervention means the higher the importance of traditional drama, which prompts more network users to believe in the real information, which leads to the existence of more immune users in the initial stage when direct immunization begins to work. Credibility of real information The credibility of the government and other relevant departments as the source of real information is an important guarantee of the credibility of information, and the media, as the half-stage of information dissemination, is the medium linking the government and the masses, which is the catalyst for enhancing the credibility of information. In order to control for traditional drama transmission, this paper intervenes in the model using social factors and takes into account the effect of noise interference by defining the direct immunization rate
Where
Considering the factor of user activity in social networks, certain users may temporarily disengage from the network without always staying online, which triggers the problem of real-time changes in the number of online users in social networks, this paper introduces the concepts of the addition rate and the offline rate. Among them, the addition rate is defined as the percentage of the number of newly online users in the network to the total number of users at a certain moment, and the offline rate is defined as the percentage of the number of offline users to the total number of users at a certain moment. And, considering the influence of social reinforcement effect on the spread of traditional drama in social networks, this paper imposes social reinforcement effect for immunized users. Meanwhile, considering the existence of direct immunization, the relevant departments can control the spread of traditional drama in social networks by taking certain measures, such as releasing real information, to regulate the spread of traditional drama and guide the direction of traditional drama. Specifically, it is to act the social reinforcement effect on the immune user, when the immune user repeatedly receives the traditional drama with probability
Taking the above considerations into account, the DR-SCIR traditional drama propagation model is established, and the DR-SCIR traditional drama propagation model is shown in Figure 5.

DR-SCIR public opinion propagation model
Where,
Since there are user addition rate
Therefore, the differential equation of the DR-SCIR traditional theater propagation model can be expressed as:
The initial values of the model are:
Of these,
There are a lot of reports about “Shu Feng Ya Rhythm” on the Internet, so we only collect data on June 1, 2023 here. Secondly, this study will mainly rely on the relevant data from the following networks: the public opinion information network of news media in the social network platforms, which is mainly crawled by the top-ranked news media. Forums and community websites in public network platforms, mainly Sina Weibo, Today’s Headlines, etc. These official microblogs will also reprint and comment on relevant hot topics on the Internet. The official microblog users and their participation in topics and time are shown in Table 1. The excerpts in the table are the official microblog users and their participation in topics and time in one time period.
Weibo official users and their participation topics and time
| User name | Topic | Time |
|---|---|---|
| Sichuan daily | Rhymes | 6.1 |
| Lunar period | Rhymes | 6.1 |
| People’s data | Rhymes | 6.1 |
| Sichuan favorite | Rhymes | 6.1 |
| Yu Yang intellectual property | Rhymes | 6.1 |
| Climbing daily | Rhymes | 6.1 |
| People’s Daily | Rhymes | 6.1 |
| Sichuan local treasure | Rhymes | 6.1 |
| Sichuan radio station | Rhymes | 6.1 |
| Daily up | Rhymes | 6.1 |
| Live in China | Rhymes | 6.1 |
| Sichuan TV | Rhymes | 6.1 |
| Ancient point | Rhymes | 6.1 |
In this paper, the microblogging users who participate in the discussion of “Shu Feng Ya Yun” program topics are regarded as the nodes in the network, and the microblogging information dissemination process is regarded as the interconnection relationship between nodes through the forms of liking, commenting and retweeting between the users. After that, we searched for microblogging topics and established the relevant neighbor matrix and organized it. Immediately after that, we start to analyze the overall social network structure as well as centrality, structural holes, and cohesive subgroups.
From the “Shu style and elegant rhyme” program related topics selected 50 high attention, discussion number of topics, after deleting duplicates and low degree of relevance of the user based on the final determination of the 20 events concerned nodes, the relationship between the data as a link, and to construct a 0-1 directed adjacency matrix adjacency matrix, 0 indicates that the two users topic There is no association relationship, and 1 indicates that there is an association relationship between two user topics. Then the adjacency matrix is imported into the social network analysis software for metrics measurement. The results of visualizing the social network structure of Shu Feng Ya Yun topics and users are shown in Figure 6. As can be seen from the figure, the connection between Shu Feng Ya Yun topics and users is intricate, yet closely connected. It is characterized by a network of nodes and complex relationships. The official media in the key center position are People’s Daily, Punch News, China Information Network, Panzhihua Daily, etc. The topics in the key center position are topics such as Shu Feng Ya Rhyme, Behind Shu Feng Ya Rhyme Out of the Circle, and Why Shu Feng Ya Rhyme can be on fire. From this, we are able to see that there is a close connection with many topics as well as the related user media, indicating the total amount of traditional drama of information dissemination and the formation of many topics.

The topic and the user’s social network structure visualization
Next, we will look at the overall network structure indicators of social network communication. The network structure indicators of Shu Feng Ya Yun topic information dissemination are shown in Table 2. Measured by social network analysis software, the network density of Shu Feng Ya Yun topic social network dissemination is 0.03925, with a total of 645 connecting lines connected by 50 topics and users’ attention nodes, with an average distance of 2.5 and a clustering coefficient of 0.362. The results show that, as a whole, indicate that the interaction between the various nodes in the dissemination of information in social networks is relatively low, and the overall aspect of the cohesive situation needs to be strengthened. The meaning of the average distance is the shortest way between two nodes can pass through no more than three nodes and establish a communication relationship with them, the nodes have the ability to communicate with each other easily. From the cohesive subgroup density data, the composition of network information dissemination does not show the existence of high cohesive groups. It can be seen that the current social network information dissemination is easier to bring efficient information dissemination and effective communication.
Topic information dissemination network structure index
| Index | Density | No.of Ties | Mean distance | Clustering coefficient |
|---|---|---|---|---|
| Result | 0.03925 | 645.0000 | 2.5 | 0.362 |
Shu Feng Ya Yun topic social network intermediate centrality indexes (excerpts of the first 10) are shown in Table 3. The data shows that in terms of degree centrality, the People’s Daily has the highest in-degree value, and the Central Committee of the Communist Youth League, Sichuan Satellite Television, and Surfing News have higher in-degree values, which indicates that these official users are paid more attention to by other users in the information dissemination network, and they belong to the core node users who have a large dissemination influence and a wide dissemination audience. In terms of the center of the out-degree value, we can see that the out-degree value of Sichuan Satellite TV, Panzhihua Daily, Sichuan Daily, etc. is higher, indicating that these official users have access to a larger amount of information on the topic of Shu Style and Elegant Rhyme and have access to a variety of channels. The study found that in the entry degree value of the People’s Daily, the Communist Youth League Central Committee, Sichuan Satellite TV and other official microblogging on the news dissemination of the Shu Feng Ya Yun program topic of information dissemination, traditional drama dissemination and dissemination of the public opinion guidance of the relatively high degree of activity, played the network structure of the key role of the opinion leader, demonstrated a stronger ability to guide the dissemination of information and from the interception of a typical representative of the number of degrees of centrality, and see that the communication impact of each official microblog shows differences.
The centrality index of social network on the topic
| Serial number | Node name | Indegree | Outdegree |
|---|---|---|---|
| 1 | People’s Daily | 57 | 42 |
| 2 | Sichuan TV | 34 | 56 |
| 3 | The center of the communist youth league | 44 | 41 |
| 4 | thepaper.cn | 29 | 36 |
| 5 | CCTV network | 32 | 44 |
| 6 | People’s Daily | 23 | 36 |
| 7 | Sichuan radio | 19 | 50 |
| 8 | Sichuan daily | 22 | 55 |
| 9 | Climbing daily | 21 | 52 |
| 10 | Sichuan news | 21 | 39 |
The intermediate centrality indicators (excerpts of the top 20) of the Shu Feng Ya Yun topic social network are shown in Table 4. The data in the above table shows that the intermediate centrality of official users such as People’s Daily, Sichuan Satellite Television, and the Central Committee of the Communist Youth League is the highest, indicating that these official media occupy relatively rich information dissemination resources in the network topology, and control the dissemination flow and dissemination process of the topic well, and play a great role as a bridge to promote the overall network information dissemination process. We found that the maximum value of the relative intermediate centrality between the 50 Shu Feng Ya Yun high attention and users is 10.400, the minimum value is 2.115, and the standard deviation is 3.7, which shows that the communication control power in the social network presents a significant difference. And the intermediate centrality potential of information dissemination of the whole topic is 0.325, this figure indicates that the network relevance of the topic is high, the information is interchangeable and the communication is relatively close. And the official microblog of People’s Daily has the highest intermediate centrality, which indicates that it is the core node, and many nodes have no connection with each other, but because of the existence of official users such as People’s Daily and Sichuan TV, it makes the nodes that have no relationship with each other establish a relationship. As an authoritative website for news release, it plays a very important role in the topic of Shu Feng Ya Yun, without this node, a lot of paths will be changed, and it may also affect the dissemination of information to a certain extent.
The betweenness centrality index of the social network on the topic
| Serial number | Node name | Degree | Nrmdegree |
|---|---|---|---|
| 1 | People’s Daily | 64 | 10.411 |
| 2 | Sichuan TV | 59 | 9.08 |
| 3 | The center of the communist youth league | 55 | 9.027 |
| 4 | thepaper.cn | 52 | 8.091 |
| 5 | CCTV network | 39 | 7.67 |
| 6 | People’s Daily | 41 | 7.22 |
| 7 | Sichuan radio | 34 | 5.908 |
| 8 | Sichuan daily | 33 | 6.092 |
| 9 | Climbing daily | 29 | 6.211 |
| 10 | Sichuan news | 31 | 5.875 |
| 11 | Sina variety | 28 | 5.834 |
| 12 | resight | 29 | 5.579 |
| 13 | Sina video | 23 | 5.116 |
| 14 | Live broadcast | 22 | 5.07 |
| 15 | Shu jing | 23 | 4.807 |
| 16 | Audio-visual China | 19 | 4.76 |
| 17 | dynamicnews | 17 | 4.53 |
| 18 | Sichuan TV | 16 | 4.303 |
| 19 | Chinese dance | 15 | 4.225 |
| 20 | China news network | 14 | 3.974 |
The intermediate centrality between users of the Shu Feng Ya Yun topic is shown in Figure 7.

The middle center of the topic user
We measured the proximity centrality of social network analysis on the topic of Shu Feng Ya Rhyme by ucinet software, and the proximity centrality measures (excerpts of the first 10) in social networks are shown in Table 5. From the results of the social network proximity centrality of the Shu Feng Ya Yun topic in the table, it can be seen that the entire topic in the process of information dissemination, “live”, “China Dance Soul” official users in the entire process of information dissemination, the information resources are in the recipient is relatively more. It suggests that information resources are not easily held by individuals or small groups of actors throughout traditional theater networks. The low proximity centrality of official microblogs such as “Sichuan Satellite Television”, “Surge News” and “Panzhihua Daily” indicates that they are very independent in accepting and disseminating information, and they are able to control the resources on the network for reporting about the topic and are not controlled by many other nodes. It is able to control the resources on the network and is not controlled by many other nodes, and when it releases information, all other nodes can accept it effectively and smoothly.
Proximity centrality measures in social networks
| Serial number | Node name | Infarness | Outfarness |
|---|---|---|---|
| 1 | Sichuan TV | 52 | 56 |
| 2 | thepaper.cn | 72 | 58 |
| 3 | Climbing daily | 71 | 92 |
| 4 | People’s Daily | 69 | 98 |
| 5 | The center of the communist youth league | 73 | 63 |
| 6 | Sina variety | 74 | 103 |
| 7 | Shu jing | 85 | 126 |
| 8 | Sichuan TV | 86 | 116 |
| 9 | Chinese dance | 120 | 100 |
| 10 | Live broadcast | 130 | 102 |
The structural hole analysis indicators of Shu Feng Ya Yun topic social network are shown in Table 6. As can be seen from the data in the table, the highest of the effective size indicators is Sichuan TV, and the lowest of the restricted system indicators is Panzhihua Daily. The results of the study show that these official microblogs have a relatively strong ability to occupy structural holes, which helps to build a diffractive information dissemination network structure and further enhances the network’s characteristics of robustness and toughness. In addition, we find that these official microblogs have a lot of flexibility and discourse power in the process of topic information dissemination as well as mastering information resources, which is conducive to the promotion of the overall social network dissemination of the ability to dominate and follow.
Structural hole analysis indicators of the social network
| Serial number | Node name | Effective scale | Limitation |
|---|---|---|---|
| 1 | Xinhuanet | 30.567 | 0.08 |
| 2 | China Daily | 33.034 | 0.075 |
| 3 | China broadcasting network | 31.298 | 0.093 |
| 4 | Sichuan TV | 32.104 | 0.068 |
| 5 | Climbing daily | 22.256 | 0.054 |
| 6 | People’s Daily | 30.225 | 0.072 |
| 7 | The center of the communist youth league | 32.861 | 0.108 |
| 8 | Sina variety | 17.56 | 0.112 |
| 9 | Tianya | 13.866 | 0.111 |
| 10 | Live broadcast | 12.386 | 0.156 |
The cohesive subgroups in the social network topology are shown in Fig. 8, and the information dissemination of the topic of Shu Feng Ya Rhyme, for example, is clustered into eight subgroups with different numbers and different locations in this social network dissemination. The relationship networks, discussion contents, and topic attributes within these topics have strong similarities. The users in each subgroup interacted with each other frequently, which effectively attracted the activity of other subgroups. The discourse expression and information commonality among the topics promoted for discussion also facilitated users’ identification and categorization. In addition, we can also find that some clustered subgroups have more subgroups, which to some extent indicates that the overall communication power needs to be improved, and is also conducive to the dissemination of official guiding media, which is more oriented.

The social network topology is condensed subgroup
In order to analyze the effect of opinion leaders on traditional drama propagation in single-tier social networks, comparison experiments are conducted by taking

The influence of opinion leader on the spread of drama
For the influence of viewpoint interaction behavior on traditional drama communication, this paper will carry out research from two aspects, discussing the influence of viewpoint interaction threshold and opinion compromise parameter on traditional drama communication respectively. Firstly, to carry out the research on the impact of viewpoint interaction threshold on traditional drama communication, in order to analyze the impact of viewpoint interaction threshold

The effect of the view of the view on the spread of the traditional drama series
As can be seen from Fig. (a), as the viewpoint interaction threshold
Secondly, the research on the influence of opinion interaction compromise parameter on traditional drama communication is carried out. In order to study the influence of opinion interaction compromise parameter

The impact of the interaction of the opinions on the spread
As can be seen from Figs. (a) and (b), the peak value of the propagating users increases sequentially as
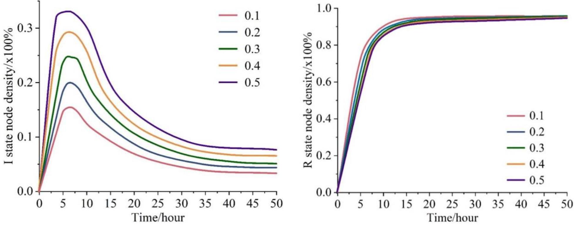
In order to investigate the effect of topic interest degree on traditional drama propagation in single-layer social networks, the values of

The influence of interest on the spread of traditional drama
From the figure, it can be seen that the peak and the value at reaching stability are lowest for propagating users when
This paper focuses on the digital protection and dissemination of traditional drama, using the basic theory of complex networks, combined with the dynamics of communication, to explore the study of traditional drama dissemination model of complex social networks under the technical support of new media. The main findings of this paper are as follows:
Taking the 2023 “Sichuan Satellite TV Shufeng Yayun Program” as the research material of Sichuan opera communication, after analyzing the network structure index of Shufeng Yayun topic information dissemination, the network density of Shufeng Yayun topic social network communication is 0.03925, the number of connection lines of the topic and the user’s attention node is 645, the average distance is 2.5, and the clustering coefficient is 0.362. It can be concluded that the interaction between the various nodes in the dissemination of information in social networks is relatively low, and the overall aspect of the cohesive situation needs to be strengthened.
After simulation and analysis of the proposed DR-SCIR social network traditional drama propagation model, it is found that the opinion leader, the viewpoint interaction threshold and the opinion compromise parameter all affect the scope of traditional drama propagation to a certain extent, so that the time for traditional drama to reach stabilization is increased, but they do not have much effect on the final value of the traditional drama when it is stabilized; the topic interest degree is the core of determining the propagation of traditional drama. When the regulation parameter
