A study on timbre feature extraction and sound quality optimisation of guzheng performance based on spectral analysis
29 sept. 2025
À propos de cet article
Publié en ligne: 29 sept. 2025
Reçu: 27 janv. 2025
Accepté: 11 mai 2025
DOI: https://doi.org/10.2478/amns-2025-1121
Mots clés
© 2025 Dan Lu, published by Sciendo.
This work is licensed under the Creative Commons Attribution 4.0 International License.
Figure 1.

Figure 2.

Figure 3.

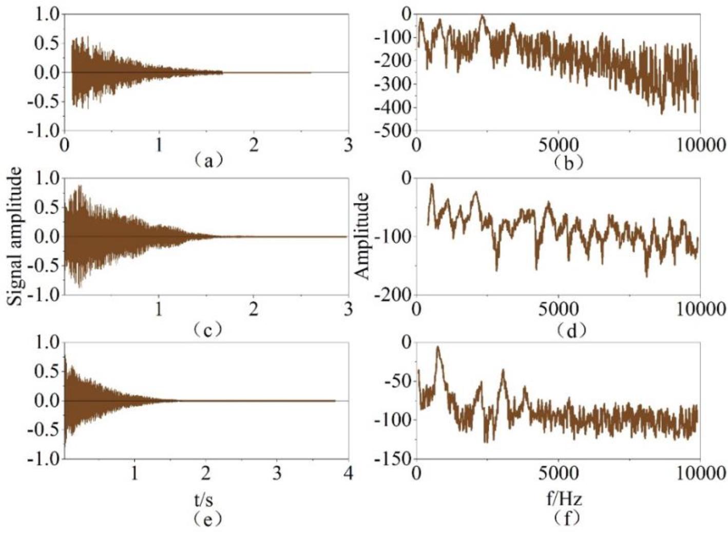
Figure 4.

Figure 5.

Figure 6.

Figure 7.

Figure 8.

