Research on the Integration of Personalized Learning Resources for Vocal Music Education in Music Teaching in Colleges and Universities in Digital Environment
Publié en ligne: 26 sept. 2025
Reçu: 05 févr. 2025
Accepté: 09 mai 2025
DOI: https://doi.org/10.2478/amns-2025-1081
Mots clés
© 2025 Chen Li, published by Sciendo
This work is licensed under the Creative Commons Attribution 4.0 International License.
With the development of science and technology and the improvement of education level, according to the needs of the development of music teaching, the use of digital music teaching methods in teaching is advocated to give full play to its advantages, which has injected fresh “blood” into China’s music education system and brought unprecedented great changes, getting rid of backward teaching models, and exploring new teaching methods to better cultivate music education talents [1-4]. Digital music education has the characteristics of time-saving, resource-saving, real-time convenience, etc. The establishment of digital music classroom, the implementation of some courses of collective teaching, can effectively alleviate the widespread teacher shortage in institutions [5-8]. The use of digital music in modern vocal music teaching will also bring a revolutionary impetus to the professional teaching of music, and the integration of personalized learning resources for vocal music education is of great significance to the effect of vocal music education [9-12].
Vocal music teaching is a special talent cultivation project with the characteristics of skill transfer. In the curriculum of colleges and universities, it shoulders the important task of cultivating qualified teachers of basic music education. Therefore, vocal music teaching must not only conform to the general laws of education science, but also follow the objective laws of music art [13-16]. In particular, the subjective attributes of vocal music itself put forward certain special requirements for teaching practice, which directly guides the effect and quality of skill transfer [17-18]. In the digital context, the principle of individualization of teaching and teaching resources according to the specific conditions and circumstances of each student not only reflects the basic attributes of the art of singing, but also the distinctive features of the teaching and training of skills [19-22].
This paper designs a vocal music learning path recommendation algorithm based on fine-grained vocal music knowledge graph. A top-down approach is used to construct a fine-grained vocal music domain knowledge graph oriented to knowledge points. Design the knowledge graph ontology model, which mainly includes the analysis and determination of concept classes, data attributes, and object attributes. Then extract data from data sources and perform cleaning and entity alignment to form the knowledge graph data layer. Finally, the knowledge graph is stored and visualized using Neo4j graph database. Then the learner preferences are obtained through the improved knowledge graph convolutional network (KGCN) to construct a knowledge graph-based learning path recommendation algorithm between vocal teaching courses. Simulation analysis of knowledge graph and learning path recommendation is carried out on the dataset.
This chapter describes the process of constructing a fine-grained vocal domain knowledge graph oriented to knowledge points, firstly explaining the overall construction framework of the knowledge graph, and then describing each construction step in detail, including: ontology construction, data acquisition, knowledge extraction, knowledge fusion, knowledge graph storage and visualization.
Knowledge graph can be divided into ontology layer and data layer. Among them, the ontology layer establishes an abstract model of the relevant domain in the real world by defining conceptual classes, data attributes, and object attributes, which is the main framework of the knowledge graph; the data layer stores various types of data obtained from data sources. The data layer is constructed first, entity extraction, relationship extraction, attribute extraction are performed on structured, semi-structured data and unstructured to generate ternary groups, knowledge fusion and knowledge processing are performed on the extraction results, and then the ontology layer is constructed automatically according to the data layer. The overall construction framework is shown in Figure 1.

The framework of the knowledge map of fine-grained disciplines
In this paper, the construction of fine-grained vocal domain knowledge graph for knowledge points mainly includes the following steps:
Knowledge graph ontology modeling, which mainly includes the analysis and determination of concept classes, data attributes, and object attributes. Acquisition of structured, semi-structured, and unstructured data from the dataset and knowledge extraction, which is deposited into the database. Knowledge fusion of a large number of named entities identified in the knowledge extraction phase, which mainly includes data cleaning, co-reference disambiguation, entity disambiguation, to improve the quality of the knowledge graph. Use Neo4j graph database to store and visualize the fine-grained vocal domain knowledge graph.
The knowledge graph ontology accurately describes the framework of concept classes, data attributes, and object attributes in the domain in a formalized way, and is the cornerstone of the whole knowledge graph construction. Where concept classes are the entities in the knowledge graph, data attributes are the attributes of the entities, and object attributes are the relationships between the entities [23].
The knowledge graph established in this paper aims to clearly describe the overall architecture of the domain, and utilize the large amount of semantic information and relationships between knowledge points in the graph to complete the recommendation of learning paths to vocal music learners.
Once the definition of conceptual classes, data attributes and object properties are completed, ontology modeling can be performed using the Protégé modeling tool.
The experimental data acquisition for this paper includes the open-source MOOC dataset, which includes more than seven hundred online courses, nearly 40,000 instructional videos, 110,000 knowledge points and the relationship between each knowledge point, and the course and video history learning data of 200,000 MOOC users. This dataset includes entity files and relationship files, all stored in JSON format.
In this paper, we adopt a knowledge extraction method based on traditional rules and templates, use Python scripts to write the recognition rules for each entity, attribute and relationship, and store the extracted results into a MySQL database.
The final MySQL database obtained contains a total of entity data tables: knowledge point, course, school, teacher, domain, student, video, and relationship data tables: domain-course, course-knowledge point, school-course, domain-knowledge point, teacher-course, school-teacher, student-course, student-video, and knowledge point successively following.
After knowledge extraction, the data obtained is in a more disorganized form, and there may be entities with repeated meanings and confusing structures. Therefore, knowledge fusion is needed. Knowledge fusion takes a large number of named entities identified in the knowledge extraction phase and performs data cleaning, entity alignment and other steps to improve the quality of the knowledge graph. This section describes the process of data cleaning and entity alignment respectively.
Data cleansing is the process of removing redundant, erroneous, and useless data from the knowledge graph. Given that the results of the data extraction were deposited in a MySQL database, data cleaning was accomplished using a structured query language. Since the MOOC dataset platform contains knowledge data from a wide range of domains, it is first necessary to remove courses and other entities related to them outside the identified domain. However, since the students in the domain also need to take some courses in other domains, it is also necessary to query the generic courses in other domains and keep them in order to make the semantic information of the knowledge graph more complete. Then the useless data tables need to be deleted and only the entity tables corresponding to the knowledge graph ontology need to be retained.
Entity alignment is divided into two aspects: entity disambiguation and co-reference disambiguation. Entity disambiguation aims at solving the case where the same description refers to different entities, e.g., an entity may be either a course or a video. However, this paper constructs a domain-specific knowledge graph, and the semi-structured data of different entities are extracted separately with the ontology determined, and there will not be a situation where the same description points to different entities, so there is no need for entity disambiguation [24].
Existing
Taking the course name as an example, assuming that the course names of course
Firstly, the mapping file between MySQL database and knowledge graph ontology is generated, and according to the mapping rules in this file, the MySQL database is converted to get RDF data, which is formally represented in the format of SPO triples, and each SPO triple is in the format of <Entity, Relationship, Entity> or <Entity, Attribute, Attribute Value>, which represents a piece of knowledge in the knowledge graph. Then the RDF data is uploaded to the Neo4j graph database, which can realize the storage and visualization of the fine-grained vocal domain knowledge graph.
At this point, the knowledge graph construction work is all completed.
Definition 1 User-related symbols. Definition
Definition 2 Learning path related symbols. Define the path source node
When the learner wants to get the recommended path, two optimal learning paths are recommended for the learner to choose based on the learner’s learning needs, which are Integrity Learning Path
The integrity learning path is the path that starts with the learner’s knowledge reserve and ends with the learning goal. It has corresponding relationship constraints
We assume that the learner has mastered the prerequisites of all the courses in the knowledge base as well as any courses contained in the courses. Therefore, when there is a prerequisite relationship between courses in the knowledge base
In the process of learning path selection, learner preference, course importance, etc. are used as important indicators for path recommendation. In this paper, we improve the KGCN algorithm to get the preference degree of the user
Learner preference is an important measurement factor for personalized learning path recommendation. In this paper, we improve KGCN algorithm to obtain the degree of learner’s preference for a course. KGCN is a model based on Knowledge Graph Expansion Project, which successfully captures the local neighborhood structure and stores it in each entity through a neighborhood aggregation operation. In the neighborhood aggregation operation, the neighborhood representation of an entity is computed based on the relationships between the entities, where the relationships include
In order to map the association strength of
The proposed SKGCNH algorithm (SKGCN+TransH) utilizes the TransH model idea to calculate
where
Since the larger
In order to represent the neighborhood structure of item
Finally entity
Predicting learner
where
The importance of the course in the learning path
Course rating
Course Difficulty Level
Centrality
Finally, we propose the course importance formula shown in (15).
Where
Combining the learner’s preference for the course
Where
Based on the formula (17), each path score is obtained, and the path with the highest score is selected and recommended to the learner.
All the course data in this paper are crawled from China University MOOC, a platform for collecting and organizing lecture resources. The platform undertakes the mission of the Ministry of Education’s “National High-quality Courses” and provides more than 1,000 MOOC courses offered by famous Chinese universities to the public, many of which are offered by teachers from 985 universities, breaking down the barriers between universities. After a preliminary analysis of the course pages of Chinese university MOOCs, the information we can get mainly includes the course name, the subject to which the course belongs, the instructor, the teaching institution, the course introduction, and the course syllabus. In addition to the “course details” page, each course also has a “course evaluation” page, where learners who have chosen the course can communicate with each other and rate the course.
Through the above analysis, through the simulation of clicking action by network crawler technology, we can obtain the information of vocal music teaching courses and some user information on the website, and the specific flow of the whole data collection process is shown in Figure 2.

Crawling Process of Dataset
The crawled data is written into a csv file, and since the initial data contains certain missing values and error values, some of the data with missing values are deleted in order to avoid the impact on the subsequent knowledge graph construction.
Due to the structural characteristics of web pages, the obtained process data can be divided into semi-structured data and unstructured data. The name of the course, the subject it belongs to, the duration, the URL, the teacher, and the school all belong to semi-structured data; while the course overview and the course syllabus have a clear difference from the previous semi-structured data, which consist of longer textual information and belong to unstructured data. Different data have different characteristics as follows:
Semi-structured data: fully structured data can be stored in dimensional tables, unstructured data refers to those data that can not be logically expressed with a fixed structure to achieve the logical organization of semi-structured data between the two, does not fully comply with the characteristics of dimensional tables can be stored, but after a simple process can be extracted from the entities and relationships Unstructured data: the unstructured data involved in this paper mainly refers to text data, which need to be extracted through natural language processing technology to extract entities and relationships.
The model structure of MOOC knowledge graph based on online course platform is identified in the previous paper, and the entity identification and relationship extraction methods involved are described in detail. The results of entity and relationship extraction are presented. The identification of the knowledge point entities is determined by the identification of the relevant text on the MOOC page through the keyword extraction technique, and the successive revision relationships among the courses are also described in detail in the previous paper.
In this paper, 150 courses in vocal music teaching are labeled with knowledge points of these courses using manual labeling method, and the data of the first 120 courses are selected as the training set, and the data of the last 30 courses are used as the test set. The coefficient α is obtained by training using the training set, and the change process of system recall with coefficient α is shown in Figure 3.

System recall rate
In order to determine the coefficients of the knowledge point extraction model more intuitively, the figure shows the variation of r under different values of α. When α=1, 1-α=0, the structure at this time represents the keyword extraction results, at this time the corresponding system recall rate is 52.8%. According to the curve in Fig. 3, when α=0.88, the system recall rate reaches the maximum of 67.2%, which indicates that the method can effectively realize the automatic extraction of keywords, and the final coefficient α is determined as 0.88 in this paper.
Table 1 shows the results of the knowledge recognition of some courses, from the table, it can be seen that the knowledge entities contained in the courses can be effectively obtained in this way, but about the deactivation word list still need to be manually and continuously summarized and improved in order to improve the accuracy of the recognition results.
Results of Knowledge Extraction
| Course name | Knowledge point |
|---|---|
| Vocal theory | Basic concept of vocal music |
| Basic principle of sound | |
| Respiratory bite | |
| Vocal cord technique | |
| Sound regulation | |
| Pitch and rhythm | |
| Curved structure | |
| Melody modulation | |
| Singing foundation | Western music history |
| Oriental music history | |
| Artistic performance | |
| Characteristics of Chinese folk songs | |
| Modern Chinese music | |
| Popular singing | |
| Pattern of pop music | |
| Stage singing practice | Practice |
| The theory of music | |
| Stage scheduling | |
| Work analysis | |
| chorus | |
| Instrumental performance | |
| Dance play | |
| March performance | |
| Pop music | Popular singing |
| Pop voice technology | |
| Melodic expression | |
| Interpretation environment setting | |
| Breath expression | |
| Popular music | |
| Open closing | |
| Singing synergy |
Experiment on the course relationship determination method proposed in the previous paper, according to the results found that the method in this paper can effectively determine the sequential relationship between courses, but due to the reason of course selection, so the results have some errors. After research and analysis, it is known that some common but not related to the course content of the keywords are treated as knowledge points, which will also be calculated to produce errors in the results.
Figure 4 shows the mapping of some of the course layers after adding the sequential relationship, it can be seen that under the judgment of this model, the study of “Basic Concepts of Vocal Music” needs to be preceded by the study of “Vocal Technique”, this is because the course material of “Basic Concepts of Vocal Music” taken involves part of the basic content of “Vocal Technique”, and both of them have part of the overlap of the knowledge points, which are explained more in detail in the course of this “Principles of Database” chosen. These points are explained in more detail in the selected course Principles of Databases, but in reality the courses Basic Vocal Concepts and Vocal Technique are independent of each other. Therefore, it can be seen that the course materials have a greater influence on the determination of the sequential relationship, and this model has some errors in the determination of the sequential relationship.

Par of Course Map
On the other hand, after repeatedly adjusting the judgment threshold, after setting the denial threshold as “<0.2”, the accuracy rate of this model is higher among the courses that do not have prerequisite relationships, and Table 2 demonstrates the values of the correlation of some of the denied courses.
Example of Sequential Relationship Extraction Results
| Course 1 | Course 2 | Degree of correlation | Specific relationship |
|---|---|---|---|
| Vocal foundation | Vocal theory | 0.0636 | No |
| Video singing | vocalism | 0.064 | No |
| Instrumental minor | Stage training | 0.09 | No |
| chorus | Vomiting training | 0.017 | No |
| repertoire | Music culture | 0.035 | No |
Finally, the analysis of the acquired 875 courses is completed, among which 624 courses have sequential courses, and a total of 1398 pairs of sequential relationships exist, and the judgment of 100 randomly selected sequential relationships has a correct rate of 89%, and this judgment algorithm shows a good effect in the determination of course sequential revision in this study.
The static storage method is bound to fail to meet the characteristics of the dynamic development of knowledge, so this paper can not choose the way of text storage. If the knowledge graph is directly stored in the form of ternary in the relational database, due to the complex structure of the knowledge graph, this storage method will make the table for storing the ternary is very large, and it is more troublesome if the subsequent need to modify, update and other operations of the knowledge graph; however, if the ternary is stored in more than one table, the querying performance of linking more than one table through join is also not high. In this case, graph databases, as a class of non-relational databases, are very suitable for storing such graph-structured data as knowledge graphs. The node- and relation-based storage can greatly improve the storage efficiency and query performance of knowledge graph, which makes the subsequent further development and research based on graph data more convenient, and it is also due to these characteristics of graph databases that they are widely used in the field of knowledge graph and recommender systems.
After determining the target knowledge points, according to the structure of nodes and relations in the knowledge graph, this paper proposes a deep recommendation strategy for learning paths based on inclusion relations. Firstly, we obtain the educational relationships between the surrounding knowledge points and the target knowledge points, determine which knowledge points and the target knowledge points have educational relationships that belong to the containment relationship, and select these knowledge points for deep recommendation. First select the knowledge points with a larger degree of knowledge point association (i.e., the smaller the value of
Obtain the target knowledge point, determine the relationship between the knowledge point and the surrounding knowledge point, first recommend the same relationship knowledge point, if there is no same relationship, then recommend the related relationship node, according to the number of knowledge points associated with the recommendation, the associated relationship is the same, according to the learning cost of the recommendation, and then recommend the brother knowledge point and the precursor knowledge point.
After clarifying the learning path recommendation strategies for the target knowledge points and different educational relationships, in this section, specific learning paths will be generated for the constructed educational knowledge graph. In the knowledge graph in this section, in order to show the effectiveness of different recommendation strategies more clearly, a simplified abstract graph is used in the experiments. In the figure, “T” is used to represent the target knowledge points, the inclusion relationship is represented by “1”, the prodromal relationship is represented by “2”, the sibling relationship is represented by “3”, the same relationship is represented by “4”, and the correlation relationship is represented by “5”.
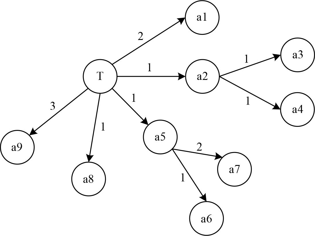
Deep recommendation strategy based on inclusion relationship The graph of knowledge points and relationships associated with the target knowledge points in the educational knowledge graph is shown in Fig. 5, and the learning path recommendation of the target knowledge points is carried out according to the designed recommendation strategy algorithm.

The relevant map of the target and other knowledge points
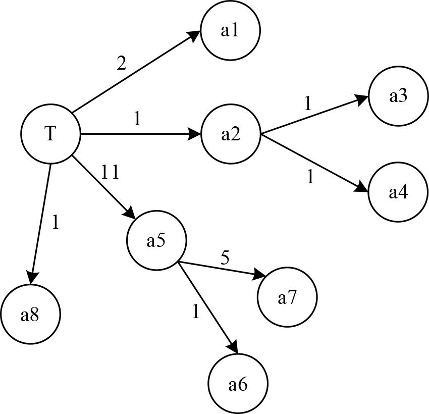
According to the relationship matrix between the target knowledge point and the surrounding knowledge points, the knowledge structure branch for the inclusion relationship can be extracted from it, i.e., when the value of EduRe in the matrix is 1 or the connection state of 1, it is indicated as the inclusion relationship, and the knowledge structure in the knowledge graph is obtained as shown in Figure 6.

The target knowledge point contains the structure of the relationship
Not all knowledge points in the set of knowledge points that are in an inclusion relationship with the target knowledge point are wise choices. The closer the current knowledge point is to the target knowledge point, it means that the knowledge point is more closely related to the target knowledge point, and the recommendation priority is higher. From the matrix, it can be concluded that the farthest distance is 2 and the closest distance is 1. Getting all the knowledge points with a distance of 1, the knowledge point recommendation is narrowed down as shown in Figure 7. Then update the collection of knowledge points.

A set of neighbors’ knowledge points
According to the previous step, the first-order knowledge points that are recommended first are found to be a1, a2, a5 and a8, and then the order of recommendation of the first-order knowledge points is judged according to the number of second-order knowledge point associations, and Table 3 shows the number of second-order knowledge point associations of the knowledge points. From the table, it can be seen that the recommendation level of knowledge points a2 and a5 is higher than that of knowledge points a1 and a8.
The number of relevant points of knowledge
| First-order knowledge | e1 | e2 | e5 | e8 |
|---|---|---|---|---|
| Second order Correlation number | 0 | 3 | 3 | 0 |
If the number of knowledge points is the same, the order of recommendation is based on the learning cost of the knowledge points. The shorter the learning time of the knowledge point, the higher the efficiency of the learner, so the smaller the learning cost of the knowledge point, the knowledge point is recommended first. As shown in Table 3, knowledge point a1 and knowledge point a8 have the same number of associations, and knowledge point a2 and knowledge point a5 have the same number of associations. Assuming Time(1)>Time(e2)>Time(e5)>Time(e8), the recommended order of these two groups are a8->a1 and a5->a2 respectively.
Through the above in-depth recommendation process, the learning path of knowledge points can be finally obtained, and the learning path sequence is Path={a5->a2->a8->a1->a7->a6->a4>->a3}. Restore it to the constructed educational knowledge graph, the knowledge point T represents the “linked list”, and the knowledge points e1-e8 represent the “sound practice”, “pitch and rhythm”, “song structure”, “vocal cord technique”, “breathing articulation”, “opening and closing accent”, “pop singing” and “playing and singing synergy” in the educational entity, respectively, combined with the above path recommendation strategy, it can be seen that in order to better grasp the knowledge point “playing and singing synergy” and the knowledge points associated with it, the learning path is { practice - > pitch and rhythm - > song structure - >Vocal cord technique - > breathing, articulation - > opening and closing accent - > pop singing - > playing and singing synergy}.
According to Figure 7, knowledge points e1, e2, e5 and e8 have an educational relationship with the target knowledge point T, and when recommending the knowledge points related to the target knowledge points, if the course knowledge model and the in-depth recommendation strategy are not used, these knowledge points will be recommended to the learners as a parallel relationship, and the learning path sequence may be Path={T->e1} or Path={T->e2} or Path={T->e5} or Path={T->e8}, from the perspective of the granularity of recommendation, the consequence of such a recommendation is that learners will get multiple learning paths, because there are multiple knowledge points containing relationships, multiple learning paths cannot distinguish which learning path is the most reasonable path, and the problem of learning loss will still occur when learners are learning. Using the course knowledge model and the deep recommendation strategy will sort the knowledge points that contain relationships and recommend a more reasonable learning path.
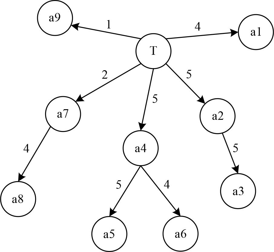
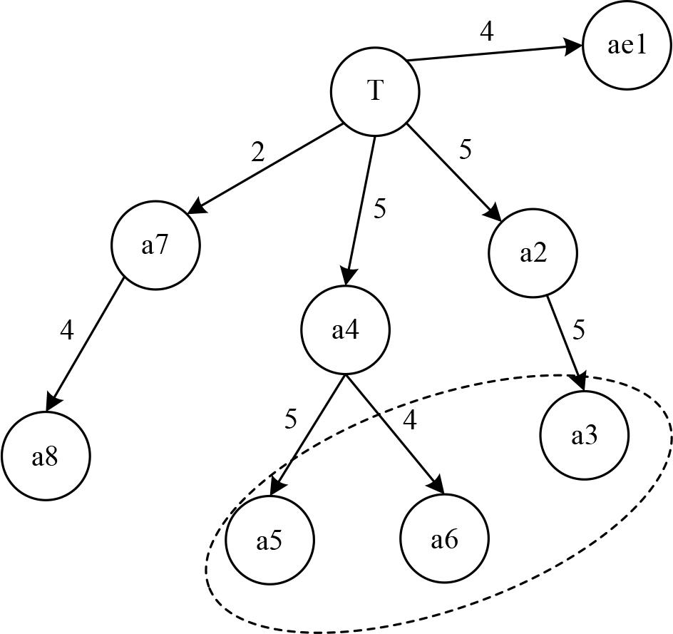
Hybrid recommendation strategy based on other relationships The association map of target knowledge points and surrounding knowledge points in the educational knowledge graph is shown in Figure 8. According to the hybrid recommendation strategy, the learning path recommendation of the target knowledge point is carried out.

The relevant map of the knowledge point and the other knowledge point
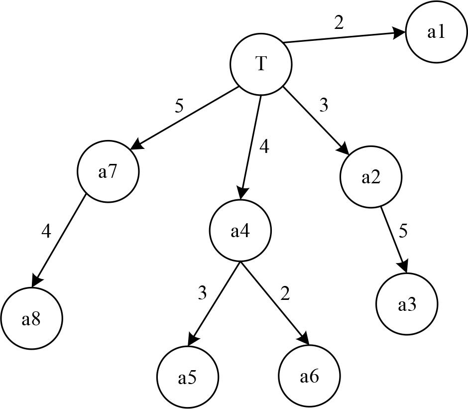
The knowledge points whose relationship with the target knowledge point is an inclusion relationship are eliminated from the relationship matrix, i.e., the knowledge points whose first column of the matrix is 1 will be eliminated from the association mapping, and the knowledge structure is obtained as shown in Fig. 9.

Remove the knowledge structure of the relationship knowledge
According to the recommendation strategy, this paper only considers the second-order neighboring knowledge points of the related relational knowledge points, i.e., only the knowledge points a5, a6 and a3 are considered, and the knowledge point a8 is not considered, and the updated knowledge point set is shown in Figure 10. For the second-order knowledge points, the recommendation order is still ranked from the relationship recommendation priority, the number of knowledge point associations and the learning cost. Based on the relationship recommendation priority, knowledge point a6 is recommended first. Considering that a5 and a3 have the same number of knowledge point associations, the recommended order is a3->a5, assuming Time(a5)>Time(a3). Therefore, the recommended order of second-order knowledge points is a6->a3->a5.

The second order is recommended
According to Figure 10, it can be seen that the first-order neighboring knowledge points of the target knowledge point have three kinds of educational relationships with it, which are antecedent relationship, same relationship and correlation relationship. If the hybrid recommendation strategy is not used, it is impossible to determine which relationship is recommended first in the process of recommendation, and in the first-order knowledge point there are multiple knowledge points with related relationships, and the recommendation priority of the knowledge points with related relationships cannot be determined, and in the second-order knowledge point the same above problem exists, and there will be a situation in which it is not possible to determine the priority of the recommendation of the knowledge point in the process of the learning path recommendation. According to the constraints on recommendation relationships in the hybrid recommendation strategy based on other relationships proposed in this paper, the above problems can be avoided, thus confirming the rationality and superiority of the recommendation strategy proposed in this paper.
In this paper, based on the fine-grained knowledge graph of vocal music oriented to knowledge points, vocal music learning resources can be integrated, and a vocal music learning path recommendation algorithm is designed to utilize the resources. Experiments are designed to analyze the results of the constructed knowledge graph and path recommendation respectively. The system recall rate changes along with the training coefficient α. When α=0.88, the system recall rate reaches the maximum of 67.2%, indicating that the method can effectively realize the automatic extraction of keywords, and this paper determines the final coefficient α to be 0.88. The knowledge entities contained in the course can be effectively obtained by the method of this paper, but the list of deactivated words needs to be manually and continuously summarized and improved in order to increase the accuracy of the recognition results. The designed path recommendation algorithm avoids the general inability to determine the priority of knowledge point recommendation, and can achieve more accurate personalized learning of vocal education.
