Research on unmanned delivery path optimization strategy based on reinforcement learning in intelligent logistics system
, et
26 sept. 2025
À propos de cet article
Publié en ligne: 26 sept. 2025
Reçu: 13 janv. 2025
Accepté: 29 avr. 2025
DOI: https://doi.org/10.2478/amns-2025-1079
Mots clés
© 2025 Lijun Kao et al., published by Sciendo
This work is licensed under the Creative Commons Attribution 4.0 International License.
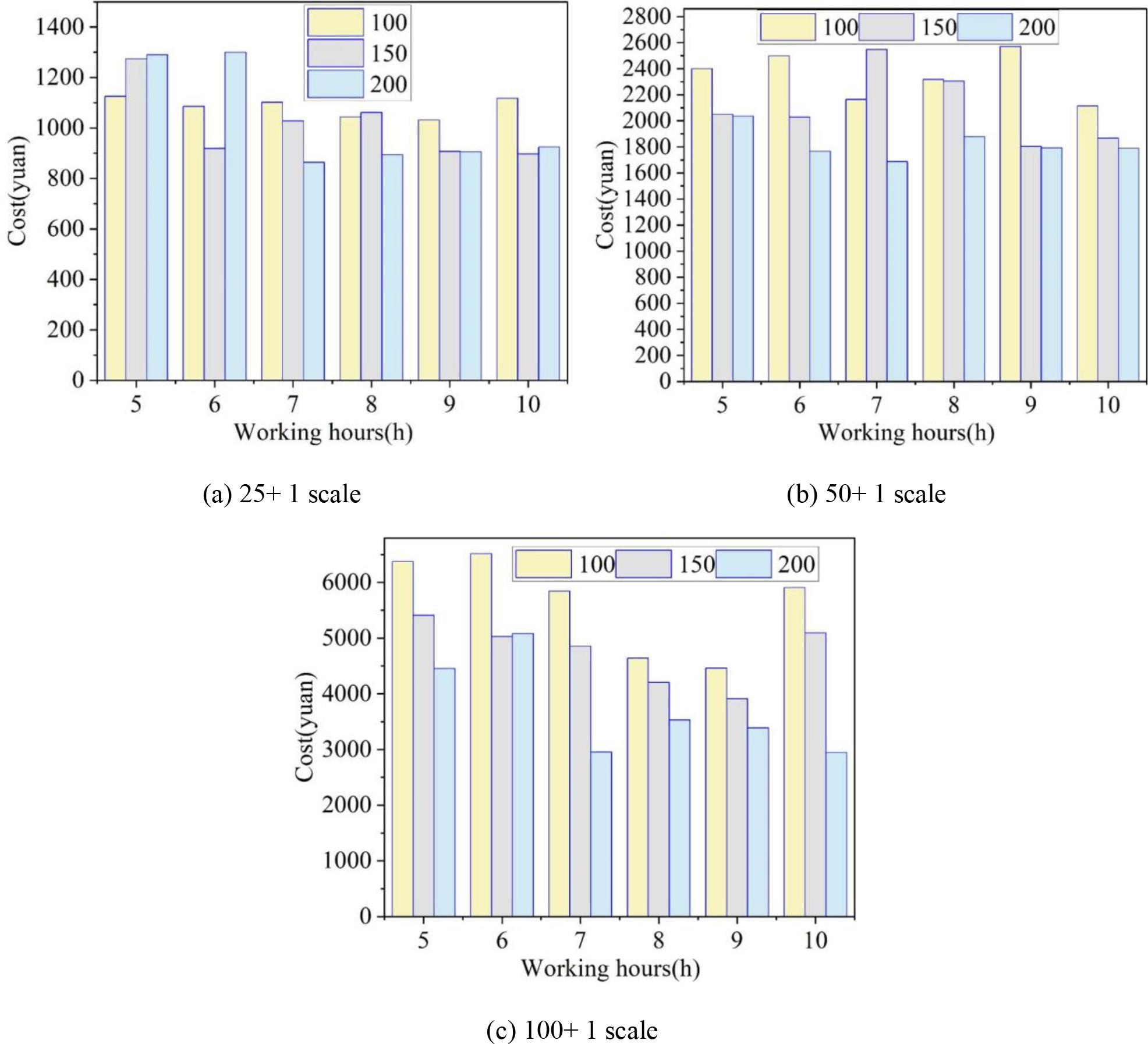
Figure 1.

Figure 2.

Figure 3.

Figure 4.

Figure 5.

Figure 6.

Figure 7.

100 example path scheme
| Numbering | Path | Total demand | Loading rate |
|---|---|---|---|
| Truck 1 | 100→62→51→72→47→89→90→34→94→31→30→52→72→24→69→9→67→60→37→42→26→16→18→64→100 | 386 | 99.2% |
| Uav 1 | 100→0→ 47, 38→ 83→ 27, 65→ 14→ 69 | 12 | |
| Truck 2 | 100→56→75→72→61→82→33→45→17→24→70→87→35→26→87→42→69→93→17→40→100 | 322 | 98.3% |
| Uav 2 | 100→ 21→ 54, 64→ 0→ 32, 24→ 70→ 16, 36→80→88, 84→ 0→ 39, 76→ 1→ 99 | 69 | |
| Truck 3 | 100→50→96→54→59→40→13→98→19→18→54→48→67→35→60→59→23→97→95→76→76→100 | 352 | 99.6% |
| Uav 3 | 11→ 35→ 18, 47→ 57→ 38, 57→ 6→ 13 | 50 | |
| Truck 4 | 100→49→16→22→47→39→86→85→38→74→7→89→88→19→92→29→93→53→81→35→100 | 322 | 97.5% |
| Uav 4 | 100→ 91→ 15, 54→ 8→ 34, 78→ 82→ 61, 88→27→25, 26→5→20 | 61 |
Example path scheme
| Scale of 50(C=150) | Scale heterogeneity | ||||||||
|---|---|---|---|---|---|---|---|---|---|
| Numbering | Total demand | Loading rate | General course | Stroke rate | Numbering | Total demand | Loading rate | General course | Stroke rate |
| 1-1 | 144 | 93.8% | 230 | 97.9% | 1-1(200) | 191 | 97.2% | 233 | 95.5% |
| 1-2 | 150 | 99.1% | 2-1(200) | 184 | 95.8% | 230 | 75.8% | ||
| 2-1 | 147 | 98.6% | 215 | 88.6% | 3-1(200) | 199 | 99.6% | 239 | 96.5% |
| 2-2 | 130 | 91.2% | 4-1(200) | 196 | 97.3% | 229 | 99.6% | ||
| 2-3 | 80 | 46.5% | 5-1(200) | 198 | 85.5% | 245 | 100% | ||
| 3-1 | 150 | 95.7% | 239 | 99.6% | 6-1(200) | 187 | 98.2% | ||
| 3-2 | 136 | 88.3% | 7-1(200) | 138 | 92.2% | 222 | 93.6% | ||
| 4-1 | 149 | 95.2% | 235 | 96.2% | 7-2(200) | 138 | 97.2% | ||
| 4-2 | 131 | 87.5% | |||||||
| 5-1 | 144 | 92.5% | 232 | 98.2% | |||||
| 5-2 | 66 | 46% | |||||||
| 6-1 | 147 | 98.3% | 150 | 58.6% | |||||
| 6-2 | 57 | 32.8% | |||||||
100 scale node information
| Numbering | Coordinate Position | Demand | Coordinate Attribute | Numbering | Coordinate Position | Demand | Coordinate Attribute |
|---|---|---|---|---|---|---|---|
| 0 | (21,42) | 2 | DC | 51 | (34,14) | 14 | FC |
| 1 | (21,22) | 0 | DC | 52 | (25,40) | 19 | FC |
| 2 | (21,10) | 2 | DC | 53 | (58,29) | 18 | FC |
| 3 | (54,12) | 1 | DC | 54 | (30,71) | 24 | FC |
| 4 | (53,38) | 5 | DC | 55 | (64,56) | 18 | FC |
| 5 | (14,22) | 2 | DC | 56 | (43,53) | 16 | FC |
| 6 | (57,48) | 8 | DC | 57 | (54,58) | 23 | FC |
| 7 | (32,13) | 0 | DC | 58 | (3,61) | 20 | FC |
| 8 | (40,28) | 1 | DC | 59 | (43,60) | 20 | FC |
| 9 | (7,68) | 1 | DC | 60 | (19,23) | 7 | FC |
| 10 | (29,45) | 16 | FC | 61 | (54,42) | 23 | FC |
| 11 | (53,13) | 12 | FC | 62 | (46,47) | 18 | FC |
| 12 | (50,74) | 14 | FC | 63 | (19,34) | 20 | FC |
| 13 | (30,68) | 19 | FC | 64 | (31,41) | 7 | FC |
| 14 | (16,18) | 17 | FC | 65 | (19,72) | 4 | FC |
| 15 | (56,66) | 22 | FC | 66 | (19,21) | 24 | FC |
| 16 | (28,42) | 20 | FC | 67 | (35,69) | 17 | FC |
| 17 | (36,24) | 11 | FC | 68 | (46,9) | 15 | FC |
| 18 | (24,25) | 20 | FC | 69 | (46,53) | 24 | FC |
| 19 | (29,23) | 11 | FC | 70 | (17,24) | 16 | FC |
| 20 | (70,62) | 17 | FC | 71 | (14,56) | 12 | FC |
| 21 | (29,48) | 10 | FC | 72 | (32,2) | 14 | FC |
| 22 | (55,41) | 18 | FC | 73 | (24,31) | 18 | FC |
| 23 | (25,63) | 18 | FC | 74 | (11,27) | 12 | FC |
| 24 | (61,28) | 11 | FC | 75 | (20,30) | 16 | FC |
| 25 | (19,10) | 17 | FC | 76 | (44,27) | 17 | FC |
| 26 | (19,49) | 23 | FC | 77 | (60,38) | 20 | FC |
| 27 | (64,11) | 17 | FC | 78 | (23,23) | 15 | FC |
| 28 | (23,21) | 19 | FC | 79 | (40,13) | 18 | FC |
| 29 | (14,50) | 6 | FC | 80 | (43,37) | 14 | FC |
| 30 | (64,74) | 17 | FC | 81 | (45,34) | 12 | FC |
| 31 | (10,19) | 20 | FC | 82 | (3,4) | 8 | FC |
| 32 | (8,58) | 16 | FC | 83 | (3,56) | 15 | FC |
| 33 | (47,35) | 16 | FC | 84 | (42,16) | 15 | FC |
| 34 | (49,52) | 7 | FC | 85 | (5,18) | 22 | FC |
| 35 | (42,29) | 16 | FC | 86 | (17,11) | 17 | FC |
| 36 | (7,14) | 21 | FC | 87 | (18,25) | 19 | FC |
| 37 | (15,40) | 19 | FC | 88 | (49,10) | 16 | FC |
| 38 | (36,57) | 22 | FC | 89 | (6,18) | 10 | FC |
| 39 | (12,28) | 14 | FC | 90 | (5,47) | 8 | TC |
| 40 | (23,1) | 18 | FC | 91 | (53,9) | 31 | TC |
| 41 | (21,28) | 17 | FC | 92 | (19,47) | 19 | TC |
| 42 | (45,67) | 19 | FC | 93 | (65,17) | 23 | TC |
| 43 | (43,14) | 17 | FC | 94 | (68,48) | 32 | TC |
| 44 | (54,48) | 17 | FC | 95 | (54,52) | 30 | TC |
| 45 | (21,63) | 11 | FC | 96 | (41,42) | 21 | TC |
| 46 | (16,24) | 17 | FC | 97 | (69,32) | 26 | TC |
| 47 | (73,2) | 11 | FC | 98 | (31,12) | 32 | TC |
| 48 | (40,39) | 22 | FC | 99 | (60,66) | 18 | TC |
| 49 | (34,31) | 24 | FC | 100 | (32,38) | 0 | Distribution center |
| 50 | (14,41) | 2 | FC |
