The Practice of Machine Translation in the Enhancement of English Reading Comprehension in Multicultural Environments
17 mar 2025
Acerca de este artículo
Publicado en línea: 17 mar 2025
Recibido: 17 oct 2024
Aceptado: 14 feb 2025
DOI: https://doi.org/10.2478/amns-2025-0234
Palabras clave
© 2025 Juan Yu, published by Sciendo
This work is licensed under the Creative Commons Attribution 4.0 International License.
Figure 1.

Figure 2.

Figure 3.

Figure 4.

Figure 5.

Figure 6.

Figure 7.

Figure 8.

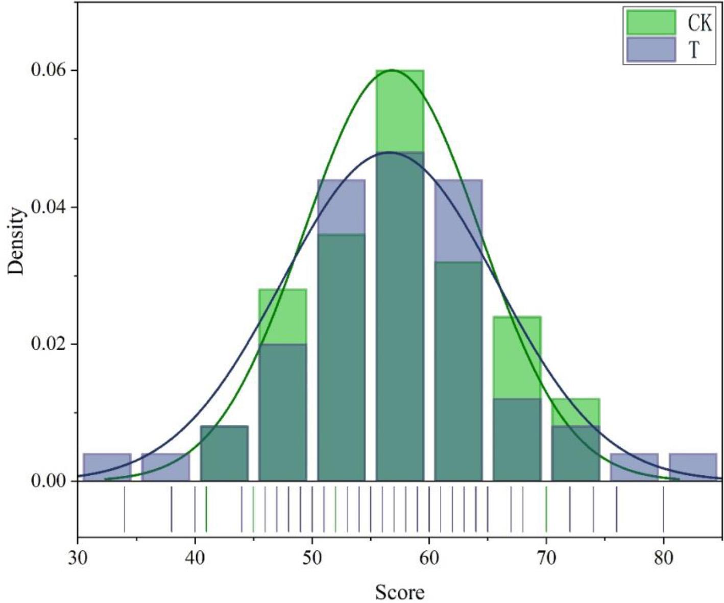
English reading comprehension level test results descriptive statistics
| Teaching experiment | Pre-test | Post-test | ||
|---|---|---|---|---|
| Class | CK (mean) | T (mean) | CK (mean) | T (mean) |
| Reading score | 56.82 | 56.6 | 62.38 | 70.6 |
| Standard error | 4.137 | 3.648 | 5.267 | 4.563 |
| P | 0.951 | 0.000 | ||
The regression prediction of students’ reading comprehension ability
| Variable | Reading comprehension | ||
|---|---|---|---|
| Correlation coefficient | Relative error | Significance | |
| Gender | 0.016 | 0.002 | 0.075 |
| Age | 0.029 | 0.007 | 0.081 |
| Majors | 0.005 | 0.001 | 0.143 |
| Teacher level | 0.007 | 0.001 | 0.107 |
| Teaching model | 0.078 | 0.003 | 0.095 |
| Machine translation | 0.199 |
0.024 | 0.000 |
| R2 | 0.261 | ||
| F | 17.596 | ||
