Study of terpene biosynthetic pathways in medicinal plants based on big data analysis
, , , und
23. Sept. 2025
Über diesen Artikel
Online veröffentlicht: 23. Sept. 2025
Eingereicht: 12. Jan. 2025
Akzeptiert: 08. Mai 2025
DOI: https://doi.org/10.2478/amns-2025-1109
Schlüsselwörter
© 2025 Xiaoqian Zhang et al., published by Sciendo
This work is licensed under the Creative Commons Attribution 4.0 International License.
Figure 1.

Figure 2.

Figure 3.

Figure 4.

Figure 5.

Figure 6.

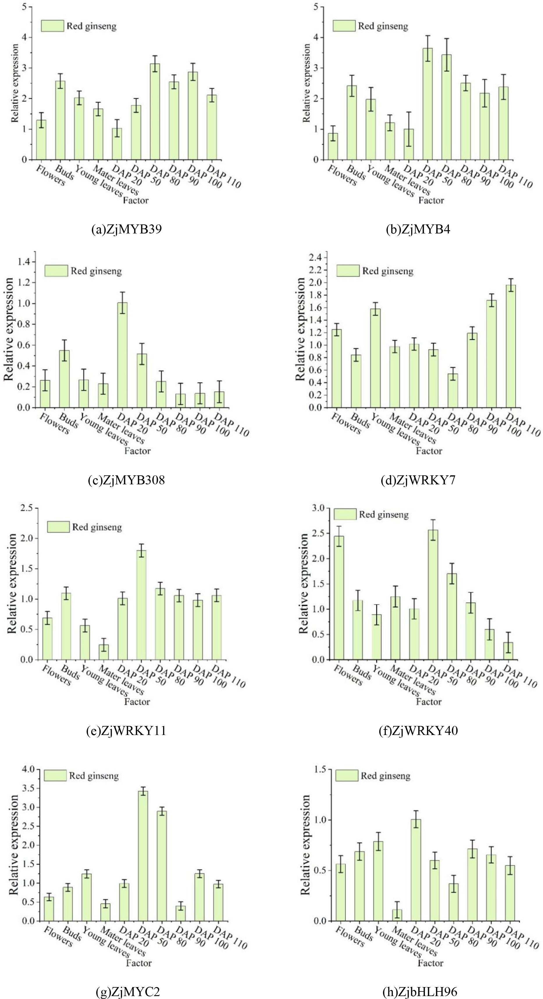
Figure 7.

Figure 8.

Figure 9.

Quality indicators of Unigene
| Sample | Genome | Total length | Mean length | N50 | N70 | N90 | GC(%) |
|---|---|---|---|---|---|---|---|
| R1-1 | 43889 | 24414215 | 455 | 610 | 401 | 202 | 40.23 |
| R1-2 | 31285 | 43781698 | 527 | 774 | 486 | 217 | 39.59 |
| R1-3 | 39983 | 32687437 | 494 | 696 | 448 | 210 | 40.05 |
| R2-1 | 55141 | 49431632 | 688 | 1113 | 681 | 270 | 40.1 |
| R2-2 | 56317 | 58566372 | 618 | 1041 | 589 | 225 | 40.26 |
| R2-3 | 41928 | 61193397 | 641 | 1012 | 605 | 249 | 38.89 |
| R3-1 | 38344 | 50372121 | 683 | 1122 | 669 | 262 | 40.12 |
| R3-2 | 40886 | 47304575 | 676 | 1106 | 667 | 261 | 40.16 |
| R3-3 | 43889 | 49739930 | 678 | 1070 | 663 | 274 | 39.98 |
| All-Unigene | 116731 | 118032214 | 978 | 1456 | 978 | 397 | 39.55 |
Quality indicators of transcripts
| Sample | Genome | Total length | Mean length | N50 | N70 | N90 | GC(%) |
|---|---|---|---|---|---|---|---|
| R1-1 | 46420 | 29653187 | 467 | 736 | 429 | 180 | 40.15 |
| R1-2 | 84358 | 55318339 | 500 | 844 | 460 | 181 | 39.47 |
| R1-3 | 63630 | 41105112 | 484 | 794 | 443 | 180 | 39.92 |
| R2-1 | 77553 | 61553228 | 631 | 1161 | 632 | 214 | 40.05 |
| R2-2 | 99127 | 72837938 | 580 | 1085 | 552 | 192 | 40.19 |
| R2-3 | 99391 | 75704223 | 606 | 1082 | 588 | 209 | 38.88 |
| R3-1 | 80400 | 63786716 | 632 | 1167 | 631 | 214 | 40.05 |
| R3-2 | 73577 | 58385161 | 629 | 1162 | 631 | 213 | 40.09 |
| R3-3 | 77548 | 61459178 | 630 | 1136 | 634 | 218 | 39.92 |
| Total | 702004 | - | 654 | 1053 | - | - | - |
Annotation results of gene function
| Values | Total | NR | Nt | Swissprot | KEGG | COG | Interpro | GO | Intersection | Overall |
|---|---|---|---|---|---|---|---|---|---|---|
| Quantity | 116731 | 61243 | 27632 | 41652 | 46542 | 52155 | 51432 | 34326 | 13757 | 67564 |
| Total ratio | 100% | 52.47% | 23.67% | 35.68% | 39.87% | 44.68% | 44.06% | 29.41% | 11.79% | 57.88% |
Experimental instrument
| Instrument name | Instrument Model |
|---|---|
| Agilent 1290 type super. high performance liquid chromatograph | 1290 Infinity |
| Electron fraction | Sartorius BT125D |
| Kq5200 super | KQ5200 |
| Youku. Pure water | ULUP-IV-10T |
| Liquid nitrogen research | JXFSTPRP-64 |
| Automatic pressure. Sterilized pan | SANYO MLS-3020 |
| coagulator | DYY-III 33B |
| Gels. Like systems | GELD.OCEQ |
| ptera | T100™ The.ermal cycler |
| High density centrifuge | D-37520 |
| trace | Rese.arch plus |
| Nanophotm-n60 micro. Volume spectrophotometer | N60 Touch |
Experimental reagent
| Reagent name | Reagent type |
|---|---|
| acetonitrile | chromatogram |
| Phosphoric acid | chromatogram |
| Methyl alcohol | Analytical purity |
| Tiangen polysaccharide polyphenol plant total RNA extraction kit | DP441 |
| Nebnext ltram RNA library prep kit | #E7530 |
| DNA 1000 assay kit | 5067-1504 |
| Agencourt AMPure XP | 63881 |
| Agarosey (AGAR sugar) | TSJ001 |
Quality indicators of sample sequencing
| Sample | Original reading (Mb) | Clean reading (Mb) | Clean base (Gb) | Q20 (%) | Q30 (%) | Ratio (%) |
|---|---|---|---|---|---|---|
| R1-1 | 67.92 | 64.96 | 4.59 | 95.35 | 87.47 | 90.83 |
| R1-2 | 70.46 | 63.74 | 4.47 | 95.71 | 88.72 | 86.05 |
| R1-3 | 67.97 | 64.54 | 4.55 | 95.71 | 88.68 | 90.2 |
| R2-1 | 65.48 | 64.17 | 4.51 | 95.76 | 88.95 | 92.96 |
| R2-2 | 65.42 | 63.69 | 4.46 | 95.74 | 88.78 | 92.36 |
| R2-3 | 65.48 | 63.32 | 4.42 | 95.57 | 88.35 | 91.74 |
| R3-1 | 65.48 | 63.03 | 4.4 | 95.61 | 88.44 | 91.32 |
| R3-2 | 65.42 | 63.56 | 4.45 | 95.6 | 88.31 | 92.16 |
| R3-3 | 65.48 | 63.67 | 4.46 | 95.69 | 88.71 | 92.25 |
