A long-term study of the effect of smart device use on student fitness in a university physical education programme
Online veröffentlicht: 17. März 2025
Eingereicht: 22. Okt. 2024
Akzeptiert: 09. Feb. 2025
DOI: https://doi.org/10.2478/amns-2025-0161
Schlüsselwörter
© 2025 Maosen Ma, published by Sciendo
This work is licensed under the Creative Commons Attribution 4.0 International License.
With the rapid development of science and technology, intelligent educational equipment plays an increasingly important role in the teaching of different disciplines [1]. As an important part of the overall quality development of students, physical education can also use intelligent educational equipment to enhance the teaching effect, and the current intelligent equipment in college physical education mainly includes virtual reality technology, sports tracking equipment, intelligent ball equipment and so on [2-4].
Intelligent educational equipment can stimulate students’ interest through interactivity and innovation. In physical education, through virtual reality technology and other devices, students can participate in sports in an immersive way, enhancing the fun of learning and sense of participation. The real-time analysis and feedback of intelligent ball equipment can also stimulate students’ competitive desire and improve learning enthusiasm [5-8]. In addition, intelligent educational devices can provide personalized learning content and guidance according to the actual situation of students. By recording students’ exercise data through exercise tracking devices, teachers can make targeted training plans based on data analysis and evaluation results. At the same time, students can also choose their training mode and difficulty according to their own needs [9-12]. Overall, the application of intelligent educational devices in physical education provides students with a more personalized and interactive learning experience. Through the use of IEDs, students can obtain real-time feedback and guidance to improve their physical education level and enhance their physical fitness. However, the application of IEDs also faces some challenges, including the cost and maintenance of the devices, as well as the integration of technology and teaching by teachers [13-16].
Literature [17] describes the application of smart wearable devices in university physical education courses. It is emphasized that with the modernization of teaching and learning advancing one by one, smart devices have received extensive attention in the field of education, and university physical education teachers should take this opportunity to fully combine smart devices with physical education teaching in order to improve the teaching effect. Literature [18] created a student sports health management service platform based on AI and Internet technology to guarantee the development of students’ physical health levels. By collecting, analyzing, evaluating and diagnosing students’ physical health data, a personalized and scientific intervention mechanism is formed to promote the development of students’ physical health. In addition, the idea of “integrating sports and medicine” has been put forward in order to combine medicine and sports. Literature [19] used the comparative experimental method and statistical data method for the experiment of teaching wearable smart devices under the Internet of Things technology, with the aim of realizing the integration of wearable smart devices and public sports teaching. The SPSS software and its application in the experiment were also systematically introduced, and the results showed that the student’s physical education skills were improved, which verified the teaching model of wearable smart devices integrating public physical education. Literature [20] studied the application strategy of smart teachers in physical education teaching, pointing out that the application of a smart classroom is conducive to the student’s independent choice of course content, in which all the sports skills will be complete and public, which helps to improve the students’ interest in physical exercise. Literature [21] combined with the actual universities and the Internet of Things, data communication and other technologies to put forward the construction plan of college students’ physical fitness test intelligent system. The use of intelligent equipment is conducive to enhancing the efficiency and accuracy of students’ physical fitness tests and promoting the scientific and intelligent nature of physical fitness tests. Practice shows that the smart device RFID reader can realize the automatic collection and processing of test data and can upload the data to the cloud to realize remote monitoring and application. Literature [22] focuses on the integration of wearable devices and smart devices and discusses the comprehensive solution of smart campus sports. By collecting data from two groups of students (experimental and control) and analyzing it using an organized and component-based framework, the results highlight the advantages of smart campus technology in physical education, which can create a more interesting, student-focused and effective physical education environment.
Literature [23] discusses the effect of acceptance of wearable IoT devices on students’ performance in sports. 150 students were divided into experimental and control groups. The physical performance of the two groups was compared, and regression analysis was performed, resulting in a significant improvement in the physical performance indicators of the experimental group, revealing that wearable IoT devices can improve the effectiveness of physical education teaching but are affected by user acceptance. Literature [24] explored the application of mobile technology in physical education teaching. A spaced repetition learning strategy was adopted, and a big data analytics approach was utilized to assess students’ physical training. An effective method in uncertain environments was calculated based on a moderated intelligent control framework, and a convolutional neural network was used in detecting physical activity characteristics. The experimental results show that mobile technology effectively improves the teaching and learning of physical education. Literature [25] used the wearable IoT device in the simulation of student physical training intelligent system. It affirmed the device, which can transmit the captured student training data to the physical training intelligent system, and effectively improve the accuracy of the data with the assistance of the optimized data processing method. However, the device also suffers from shortcomings such as low compatibility.
Literature [26] introduces a python-data processing system, which utilizes wearable devices to collect and analyze data on college students’ physical training, health status, etc., and evaluates the data through indicators such as accuracy and usability to achieve the promotion of healthy lifestyles to college students. Literature [27] explores the application value of existing wearable smart devices in sports in China and its development direction, and the experimental results verify its effectiveness, which can better improve the quality and effect of training. Literature [28] reviewed the impact of artificial intelligence technology on sports teaching in colleges and universities, analyzed and compared sports teaching in colleges and universities with the help of experimental methods, and the results indicated that the combination of artificial intelligence and sports teaching is conducive to improving the comprehensive physical quality of students, and it has a reference value for colleges and universities to improve the quality of teaching. Literature [29] emphasizes the importance of the wisdom classroom of sports in colleges and universities. A survey on the current situation of the development of public sports in colleges and universities was carried out, mentioning the construction objectives, basic framework and implementation suggestions of the sports wisdom classroom in colleges and universities under the background of Internet+.
In this paper, the RaceFit CORE smart sensing wearable device is used to collect physical training and exercise data from students in a university physical education program. Based on the accelerometers, magnetometers and gyroscopes of the sensors, the attitude angles of the motion data are solved, and then the motion model constraints are constrained according to the key points of the human skeleton and the spatial vector method to realise the tracking of the motion postures in the course of the physical education and sports. Finally, the data is transferred to the intelligent system, and the feedback function of the system assists in the physical training in the physical education program. In this paper, we set up a one-year experiment in a university, randomly selecting two different experimental classes, the experimental class and the control class, respectively, in the application mode of intelligent sensing devices and the traditional mode of physical education teaching. 24 weeks after the end of the practice to analyse the changes in the physical fitness of the students in the two classes from the physical fitness and functional physical fitness indicators, in order to explore the long-term impact of the application of intelligent devices and systems on the physical fitness of college students. Long-term effects of the use of smart devices and systems on the physical fitness of college students.
The intelligent exercise system designed in this paper for university physical education courses uses the RaceFit App as the carrier and collects exercise data through RaceFit CORE. The hardware and software intelligent system architecture relationship is shown in Figure 1. The system consists of software and hardware working together: the software is the user-side RaceFit App, the hardware is RaceFit CORE, and the artificial intelligence is deployed in real-time computing during movement.The three parts of the whole system work organically together.Hardware module 1 is the Bluetooth pairing module that communicates with the mobile device through Bluetooth and sends the data collected by the sensor to the mobile device.Hardware module 2 is the indicator that shows the hardware status, including low battery, charging, fully charged, pairing, and successful pairing.Hardware module 3 is the sensor, which is used to integrate the accelerometer, gyroscope, and electronic compass to synchronize the collection of data in three-dimensional spatial directions.Software module 1 is the pairing module, which pairs with the hardware via Bluetooth, accepts data transmitted by the hardware, and sends relevant commands to the hardware.Software module 2 is the training module, which is used to customize targeted training plans for students in university sports courses, guide students in their training, summarize training results, and present them. Software module 3 is a trend and record module, which is used to analyse the user’s training trend, including recording the student’s training duration, calorie consumption, training records and other data, and presenting them to the students and teachers in the form of data visualisation to assist with physical training arrangements and improve the university students’ motivation for physical training. Algorithm module 1 is a user plan formulation module, and algorithm module 2 is a training performance detection module, which analyses and identifies the physical training movements performed by students in physical education courses according to the data collected by the intelligent hardware worn by college students and assists the teacher in giving appropriate training advice.

The diagram of the soft and hard think system
The data collection and feedback module of the physical training intelligent system is shown in Figure 2. In the physical education programme, after the university completes the physical fitness test, the system generates a corresponding physical test report for the user and generates a targeted physical training plan based on the physical test results. Before the start of training, the physical education teacher can independently adjust the physical training content of each student, including replacing the training movements, setting the duration of the movements, and setting the duration of rest, etc.At the end of the training, the system asks students to evaluate their feelings about the training. Through the data collection and feedback functions provided in each section, the system is able to collect information about the user’s athletic ability, willingness to exercise, and subjective feelings about exercise before, during, and after training, thus forming a closed loop of feedback and accurately adjusting the training content for the user in real time. Software, hardware, and algorithms interact with the user in different forms at different stages of the user’s journey. The software and hardware act as translators between the user and the AI, translating the data needed by the AI into questions that the user can understand, the user’s movement into data that the AI can utilise, and the user’s subjective feelings into quantifiable parameters that the AI can quantify.

Data collection and feedback system logic
The accuracy of the attitude angle solved directly by accelerometers and magnetometers is limited to static measurement, and it will decrease once the human body moves.The attitude angle obtained by integrating the angular velocity measured by the gyroscope can be measured dynamically, but the integration operation will lead to cumulative error and drift, and the longer the cumulative error is, the greater the cumulative error.
Attitude solving based on accelerometer and magnetometer
When the inertial sensor [30] is in a horizontal static position, the output of the accelerometer in the northeast ground coordinate system is:
When the inertial sensor is in any attitude, the output of the accelerometer in the inertial coordinate system is:
The north-east earth coordinate system is converted to the inertial coordinate system by means of a rotation matrix, which can be referred to Eq. (3), which gives the pitch angle
The output magnetic field strength of the magnetometer in the north-east earth coordinate system and in the inertial coordinate system is:
The yaw angle
Acceleration and gyroscope based attitude solving
The gyroscope detects the angular velocity of rotation around the three axes when the inertial sensors are in attitude motion [31]. The output of the gyroscope for each axis is recorded as:
The gyroscope output to attitude angle [32] conversion matrix is expressed as:
Then the attitude angular velocity is calculated as follows:
The attitude angle velocity integrated over time
Due to the poor dynamic response of accelerometers and magnetometers and the poor static response of gyroscopes. Low pass filters need to be designed to solve the noise errors of accelerometers and magnetometers, and high pass filters to solve the accumulated errors of gyroscopes. High and low pass complementary filters [33] can solve this problem.
The high and low pass complementary filtering algorithm transfer function can satisfy the following equation:
It can be seen that
At the same time, this paper introduces the PI proportional-integral controller and adds the parametric proportional regulator
For different joint parts with different degrees of freedom, the limiting angles are different. Neglecting the Gaussian white noise, the joint angles can be calculated by the space vector method [34] ranging from the following equation:
In sports, in order to avoid unnecessary movements that cause interference between the human body and the intelligent sensing device, and at the same time to meet the normal limb movements, therefore, when extracting the structure of the human body model, the degrees of freedom contained in the joints can be traded off to some extent. In this paper, the human body is simplified into 11 joints with 25 degrees of freedom without affecting the system’s ability to track the human body’s posture.
In this study, two randomly selected classes of students in the first year of a university in Jiangsu were selected as experimental subjects. After screening, 36 students participated in class 1 (18 male, 18 female), and 35 students participated in class 2 (16 male, 19 female), which were used as the control and experimental groups, respectively. Each student wore a smart device in the physical education programme of class 1, and the system assisted the physical education teacher in setting up a targeted physical training programme, while the traditional teaching programme still taught the students in class 2. Programme of normal teaching. Before the experiment, the basic data of the experimental subjects was counted and analyzed. Before the long-term experiment, the height and weight data of boys and girls in the two classes were analysed, and the results of the analysis are shown in Table 1. The average height of boys in Class 1 and Class 2 was 175.26±5.92 cm and 175.94±8.98 cm, and the average weight was 70.42±2.65 kg and 71.44±3.26 kg, respectively. T-test analysis of the relevant data showed that the p-value was greater than 0.05 (p=0.342, 0.662), which indicated that there was no statistically significant difference between the boys of both classes in terms of height and weight.
Student height and weight analysis
| Index | Class 1 | Class 2 | T | P | |
| Male | Height (cm) | 175.26±5.92 | 175.94±8.98 | -2.635 | 0.342 |
| Weight (Kg) | 70.42±2.65 | 71.44±3.26 | -0.785 | 0.662 | |
| Female | Height (cm) | 164.26±5.94 | 165.32±4.48 | -0.118 | 0.894 |
| Weight (Kg) | 60.25±4.48 | 62.38±5.29 | -1.694 | 0.228 | |
Similarly, the mean heights of the girls in classes 1 and 2 were 164.26 cm and 165.32 cm, which were analysed by the t-test, and the p-values were also greater than 0.05. These data analysis results indicated that the two groups of students were basically the same in terms of basic information, which provided a strong guarantee for the subsequent conduct of the experiment. Through careful screening and data analysis, it is hoped that valuable data can be obtained to provide a scientific basis for subsequent physical education and health interventions.
In this study, a 24-week long-term physical education intervention was conducted with the subjects during a full year from January to December 2023. During this period, physical education sessions were conducted on Tuesdays, Wednesdays, and Fridays at the university’s playground and basketball gym, with each session lasting 45 minutes, for a total of three sessions. To ensure the smooth running of the experiment, a variety of equipment was prepared before the sessions, including gymnastic mats, elastic bands, agility ladders, small hurdle frames, and FMS test kits. This equipment played an important role in the experiment, helping students perform various physical activities and training.
Independent variables
Class 2 adopts traditional PE classroom content, and Class 1 adopts a PE teaching model that incorporates a system based on smart devices and movement posture recognition.
Dependent variable
Physical fitness and physical fitness level of college students.
Irrelevant variable control
During the implementation of the long-term teaching experiment in physical education, the teaching conditions of the control class and the experimental class were strictly controlled to ensure that, except for the difference in physical fitness training modes, all other aspects such as teaching content, progress, class time, venues and tools were kept consistent. This was done to exclude other factors from interfering with the experimental results. If force majeure factors caused an interruption of teaching during the teaching process, the teachers of other subjects would be communicated with, and the lesson time would be adjusted to ensure that the teaching hours of the two classes were equal.
In order to reduce the possible psychological bias in the experiment, this study adopted the method of single-blind testing. This test method can effectively avoid the “Hawthorne effect” caused by students’ knowledge of their participation in the experiment, thus reducing the influence of psychological induction on the experimental results and ensuring the objectivity and validity of the experimental data. Through these measures, it is hoped that an accurate assessment of the teaching effect can be obtained, which will provide strong support for the subsequent teaching reform.
In this study, according to the National Standard of Physical Fitness Test for Students, the test items of the three stages of the level were selected to assess the physical fitness of the subject college students, and before the beginning of the teaching experiment, the independent samples t-test was applied to statistically analyse the test contents of the physical fitness of the two groups of students. The test results of each item of physical quality before the experiment are shown in Table 2. There is no significant difference between Class 1 and Class 2 in terms of male and female lung capacity, 50-meter run, seated forward bending, 1-minute rope skipping, sit-ups and 50 × 8 folding and running (P=0.090-0…920>0.05), which suggests that the physical qualities of males and females are basically comparable between Class 1 and Class 2 before the start of the teaching experiment, which ensures the smooth running of this teaching experiment.
Comparison analysis of the quality of the experimental predecessor
| Physical quality project | Gender | Class 1 | Class 2 | T | P |
| Lung capacity (mL) | Male | 2213±426 | 2193±542 | -0.584 | 0.920 |
| Female | 1842±632 | 1895±558 | -0.061 | 0.786 | |
| 50m run (s) | Male | 8.96±1.26 | 9.03±1.11 | 0.113 | 0.090 |
| Female | 10.06±2.42 | 9.98±1.87 | -0.703 | 0.749 | |
| Predisposition (cm) | Male | 3.26±4.82 | 3.59±5.26 | -1.021 | 0.805 |
| Female | 8.97±5.24 | 9.32±4.26 | -0.186 | 0.304 | |
| Jumping rope in 1 minute | Male | 129.26±32.61 | 128.42±35.62 | -0.681 | 0.171 |
| Female | 114.52±26.35 | 118.26±28.94 | -0.244 | 0.873 | |
| Sit-ups | Male | 31.24±8.96 | 32.42±7.95 | -0.12 | 0.727 |
| Female | 25.48±9.62 | 24.72±10.26 | -0.752 | 0.854 | |
| 50×8 return run (min) | Male | 1.66±0.52 | 1.69±0.84 | -0.2 | 0.647 |
| Female | 1.82±0.62 | 1.78±0.72 | -0.375 | 0.437 |
In this study, in order to explore the effect of the application of intelligent traditional equipment as well as the physical training system based on the method of movement posture recognition in the teaching of university physical education classrooms, the data on the physical quality of the two groups of students before and after the experiment were compared. The test results of the physical fitness of the university students after the long-term experiment are shown in Table 3. It was found that after 24 weeks of teaching experiments, the physical quality of both groups of students improved. In comparison, the improvement of physical fitness among male and female students in class 1 has a significant advantage, especially in terms of improving their cardiorespiratory function, speed, sensitivity, and endurance. The lung capacity of male and female students in this class was improved to 2348mL and 2016mL, respectively, which was significantly different from that of male and female students in class 2 (P=0.031, 0.040<0.05) after the experiment with the application of intelligent equipment. From the results of the comparative analysis of the 50-meter run and the 50 × 8 folding run, the results of the boys of class 1 were 7.26 ± 1.23s and 1.32 ± 0.12min, respectively, which were 1.16s and 0.2min less compared to the results of the boys of class 2, and there was a significant difference (P<0.05).
Changes in the quality of the body
| Physical quality project | Gender | Class 1 | Class 2 | T | P | Increase | Rate of increase |
| Lung capacity (mL) | Male | 2348±336 | 2215±459 | -5.109 | 0.031 | 133 | 6.00% |
| Female | 2016±495 | 1987±523 | -5.797 | 0.04 | 29 | 1.46% | |
| 50m run (s) | Male | 7.26±1.23 | 8.42±2.22 | -2.624 | 0.044 | -1.16 | 13.78% |
| Female | 8.53±1.36 | 9.26±2.41 | -4.633 | 0.042 | -0.73 | 7.88% | |
| Predisposition (cm) | Male | 4.97±0.36 | 3.85±1.94 | -2.667 | 0.067 | 1.12 | 29.09% |
| Female | 10.23±1.42 | 9.86±1.63 | -1.29 | 0.053 | 0.37 | 3.75% | |
| Jumping rope in 1 minute | Male | 152.62±21.63 | 133.48±19.61 | -5.652 | 0.032 | 19.14 | 14.34% |
| Female | 126.63±19.63 | 120.34±21.12 | -5.443 | 0.001 | 6.29 | 5.23% | |
| Sit-ups | Male | 41.26±2.36 | 35.62±3.54 | -4.728 | 0.025 | 5.64 | 15.83% |
| Female | 30.26±5.24 | 27.48±2.63 | -3.745 | 0.034 | 2.78 | 10.12% | |
| 50×8 return run (min) | Male | 1.32±0.12 | 1.52±0.49 | -3.279 | 0.039 | -0.2 | 13.16% |
| Female | 1.69±0.42 | 1.72±0.36 | -5.505 | 0.016 | -0.03 | 1.74% |
Similarly, the running speed of university girls who used smart devices for physical education teaching courses increased significantly, and the 50m running performance decreased from 10.06±2.42s before the experiment to 8.53±1.36s. In addition, comparing the teaching effect of sit-ups before and after the two groups of students, the performance of sit-ups of male and female students in class 1 increased by 15.83% and 10.12%, respectively, compared with that of class 2. It indicates that smart wearable devices have a certain degree of influence on college students’ sit-ups, and the effect is significant.
Conducting the FMS test before the experiment can identify students’ deficiencies in the process of physical training, formulate a targeted implementation plan for physical training, improve the efficiency of movements, and help students participate in fitness activities more reasonably, thus reducing the risk of injuries due to the way they move. After the experiment, students were tested with FMS, and the data obtained were collated and analysed to determine if there was a significant difference in the improvement of students’ physical function before and after the experiment.Specifically, deep squats, hurdle steps, front and back split-leg squats, shoulder joint flexibility tests, supine active straight-knee leg raises, trunk stability push-ups, and rotational stability.
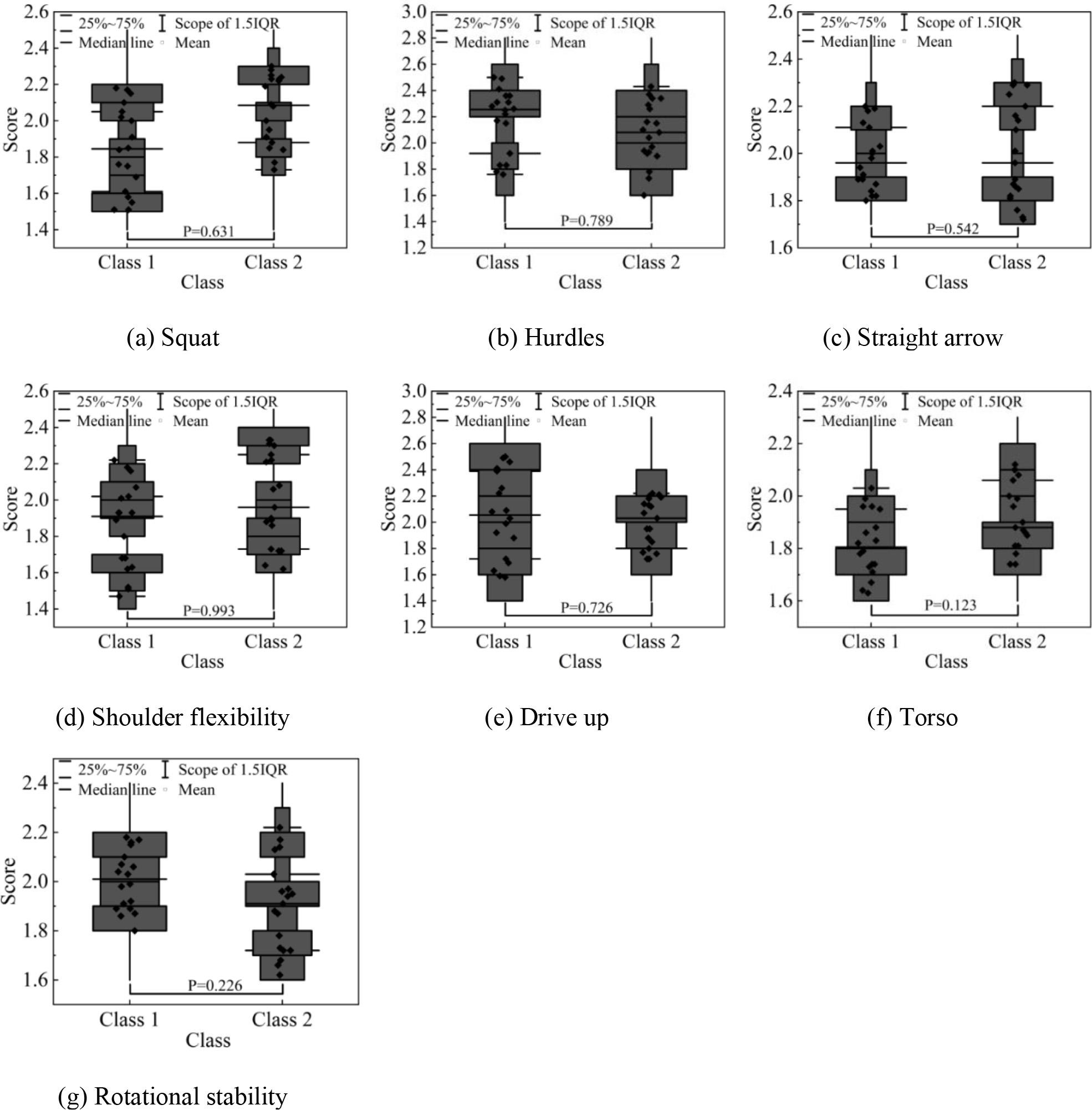
The subjects were screened for functional movements before the experiment, and the results of FMS for college students obtained through statistics and analysis are shown in Fig. 3, with (a)-(g) representing the analysed results of deep squat, hurdle step, front and back split-legged squat, shoulder flexibility test, supine active straight-knee leg raise, trunk stability push-up, and rotational stability, respectively. The mean scores of the students in both classes in the deep squat event were 1.85 and 2.06, respectively, and although the students in class 2 had slightly higher scores, there was no significant difference between the two (P=0.631>0.05). In the hurdle step and linear lunge events, the significance values between the mean scores of the students in the two classes were 0.789 and 0.542, respectively, indicating that there was no significant difference. The mean score of 1.85 for class 1 in the shoulder agility event was slightly lower than that of 2.00 for class 2 students, and there was no significant difference between the mean scores of the two. In addition, on active straight leg raises, trunk stability push-ups and rotational stability items after the t-test, P=0.726, 0.123 and 0.226>0.05, there was no significant difference between the students of the two classes on each FMS test item.

Comparative analysis of functional action screening results
The FMS scores of the two groups of students were tested again after the experiment, and the rank sum test was used because the data from the two groups did not conform to a normal distribution. The results of the statistical analysis of the indicators of FMS of college students are shown in Figure 4, (a)-(g) represent the results of the analysis of deep squat, hurdle step, anterior-posterior split-legged squat, shoulder joint flexibility test, supine active straight-knee leg raise, trunk stability push-up, and rotational stability, respectively. The results of the comparative analyses of the rank sum test are shown in Table 4. Comparison of the scores of each item after the long-term physical education teaching experiment shows that the students of the two classes produced significant differences in hurdle step, straight lunge, trunk stability push-up and rotational stability (P=0.037, 0.016, 0.026, 0.034<0.05), and deep squatting, shoulder mobility, and active straight-leg raise produced highly significant differences (P=0.006, 0.001, 0.000<0.01). Also visualized in conjunction with statistical graphs, all FMS scores of university students who underwent the smart device-assisted physical education course were higher than those of the traditional mode group. The functional training pyramid points out that the FMS movement is similar to a certain power chain or workmanship of the specialised movement in question, and the FMS score is then multiplied positively correlated with the athletic performance. This suggests that arranging intelligent devices in physical education courses is feasible for improving students’ physical fitness, and the fact that this paper set up a trial period of 24 weeks also excludes the possibility that intelligent devices only have short-term effects on students’ physical fitness.

The analysis of the FMS index was analyzed
FMS comparison analysis results
| Index | Average score | Z | P | |
| Class 1 | Class 2 | |||
| Squat | 2.49 | 2.09 | -1.708 | 0.013 |
| Hurdles | 2.73 | 2.14 | -4.604 | 0.037 |
| Straight arrow | 2.40 | 2.14 | -1.532 | 0.006 |
| Shoulder flexibility | 2.64 | 2.18 | -3.768 | 0.022 |
| Drive up | 2.71 | 2.00 | -1.039 | 0.012 |
| Torso | 2.77 | 2.04 | -1.951 | 0.026 |
| Rotational stability | 2.68 | 2.09 | -4.678 | 0.034 |
In this study, the RaceFit CORE intelligent sensing device was used to collect students’ data in sports, and the posture detection scheme was used to analyze the students’ movement data, which was inputted into the intelligent movement system, which presented the training data with the recommendations of the training scheme.
Setting up a 24-week-long university physical education teaching program, the physical fitness of male and female students in Class 1 and Class 2 was basically equal before starting the teaching experiment, which ensured the smooth implementation of this teaching experiment. There was also a significant increase in the running speed of the university girls who used the smart devices for the physical education teaching course after the experiment, and the 50-meter run performance was reduced from 10.06±2.42s before the experiment to 8.53±1.36s. In addition, in terms of functional fitness training, the students of the two classes produced significant differences after the experiment in hurdle stride, straight-line lunge stride, torso stabilization push-ups, and rotational stability (P = 0.037, 0.016, 0.026, 0.034<0.05), and deep squat, shoulder flexibility, and active straight leg raise produced highly significant differences (P = 0.006, 0.001, 0.000<0.01).
The results of the analysis show that the physical training system designed based on intelligent devices in this paper has a certain degree of science, effectiveness, and operability and can be promoted in the physical training of university physical education teaching courses to help teachers carry out long-term and effective scientific training according to the actual needs of students.
